电脑桌面
添加小米粒文库到电脑桌面
安装后可以在桌面快捷访问

(精选)混凝土结构设计第5章习题解答VIP免费

(精选)混凝土结构设计第5章习题解答_第1页
1/14
(精选)混凝土结构设计第5章习题解答_第2页
2/14
(精选)混凝土结构设计第5章习题解答_第3页
3/14
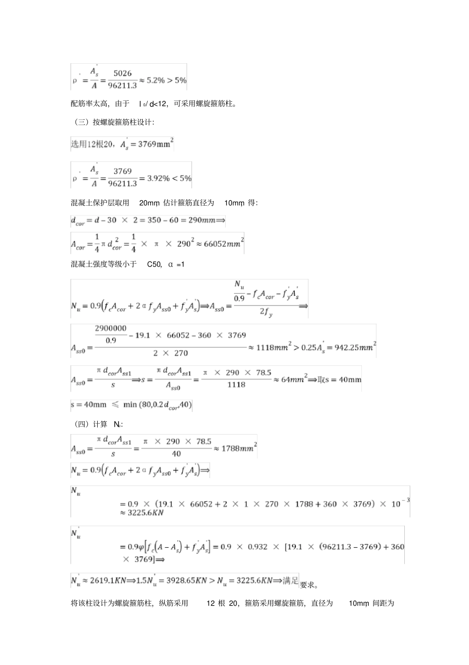
第5章习题解答(5.1)已知:某多层四跨现浇框架结构的第二层内柱,轴心压力设计值N=1100KN,楼层高H=6m,混凝土强度等级为C30,采用HRB335级钢筋,柱截面尺寸为b×h=350mm×350mm。求:所需纵筋面积。解:(一)求φ:(二)求:(5.2)已知:圆形截面现浇钢筋混凝土柱,直径不超过350mm,承受轴心压力设计值N=2900KN,计算长度,混凝土强度等级为C40,柱中纵筋采用HRB400级钢筋,箍筋用HPB300级钢筋。试设计该柱截面。解:(一)求φ:(二)求:设配筋率太高,由于l0/d<12,可采用螺旋箍筋柱。(三)按螺旋箍筋柱设计:混凝土保护层取用20mm,估计箍筋直径为10mm,得:混凝土强度等级小于C50,α=1(四)计算Nu:要求。将该柱设计为螺旋箍筋柱,纵筋采用12根20,箍筋采用螺旋箍筋,直径为10mm,间距为40mm。(5.3)已知:偏心受压柱截面尺寸为b×h=300mm×500mm,;混凝土强度等级为C30,钢筋为HRB400;轴向力设计值N=800KN,杆端弯矩力设计值M1=0.6M2,M2=160KN·m;计算长度lc=l0=2.8m。求钢筋截面面积解:(一)p-δ效应:∴不需要考虑p-δ效应。(二)初判大、小偏压:(三)计算:现按为已知的情况来进行设计。为满足全部纵向钢筋的最小配筋率,受拉钢筋选用2C16+1C14,;受压钢筋选用2C14,;(四)验算平面外承载力:(5.4)已知:轴向力设计值N=550KN,杆端弯矩力设计值M1=-M2,M2=450KN·m;偏心受压柱截面尺寸为b×h=300mm×600mm,;混凝土强度等级为C35,钢筋为HRB400;计算长度lc=l0=3m。求钢筋截面面积解:(一)p-δ效应:(二)初判大、小偏压:(三)计算:现按为已知的情况来进行设计。受拉钢筋选用3C32,;受压钢筋选用2C16,;(四)验算平面外承载力:(5.5)已知:轴向力设计值N=3170KN,杆端弯矩力设计值M1=M2=83.6KN·m;偏心受压柱截面尺寸为b×h=400mm×600mm,;混凝土强度等级为C40,钢筋为HRB400;计算长度lc=l0=3m。求钢筋截面面积解:(一)p-δ效应:(二)初判大、小偏压:(三)确定:(四)确定:为满足全部纵向钢筋的最小配筋率受拉钢筋选用2C18,受压钢筋选用3C20,(五)验算平面外承载力:(5.6)已知:轴向力设计值N=7500KN,杆端弯矩力设计值M1=0.9M2,M2=1800KN·m;偏心受压柱截面尺寸为b×h=800mm×1000mm,;混凝土强度等级为C40,钢筋为HRB400;计算长度lc=l0=6m;采用对称配筋。求钢筋截面面积解:(一)p-δ效应:∴不需要考虑p-δ效应。(二)判断大、小偏压:(三)计算:为满足全部纵向钢筋的最小配筋率,选用6根22,(四)验算平面外承载力:(5.7)已知:轴向力设计值N=3100KN,杆端弯矩力设计值M1=0.95M2,M2=85KN·m;偏心受压柱截面尺寸为b×h=400mm×600mm,;混凝土强度等级为C40,钢筋为HRB400;计算长度lc=l0=6m;试复核截面是否安全。解:(一)p-δ效应:(二)验算平面外承载力:(三)判断大、小偏压:(四)求e0:(五)截面复核:(5.8)已知:某单层工业厂房的I形截面边柱,下柱高5.7m,轴向力设计值N=870KN,杆端弯矩力设计值M1=0.95M2,M2=420KN·m;偏心受压柱截面尺寸为b=80mm,h=700mm,,,;混凝土强度等级为C40,钢筋为HRB400;对称配筋。求钢筋截面面积。解:(一)p-δ效应:(二)判断大、小偏压:(三)计算:中和轴在腹板内选用3根20,(四)验算平面外承载力:(注:专业文档是经验性极强的领域,无法思考和涵盖全面,素材和资料部分来自网络,供参考。可复制、编制,期待你的好评与关注)

1、当您付费下载文档后,您只拥有了使用权限,并不意味着购买了版权,文档只能用于自身使用,不得用于其他商业用途(如 [转卖]进行直接盈利或[编辑后售卖]进行间接盈利)。
2、本站所有内容均由合作方或网友上传,本站不对文档的完整性、权威性及其观点立场正确性做任何保证或承诺!文档内容仅供研究参考,付费前请自行鉴别。
3、如文档内容存在违规,或者侵犯商业秘密、侵犯著作权等,请点击“违规举报”。

碎片内容

(精选)混凝土结构设计第5章习题解答

您可能关注的文档

确认删除?
VIP
微信客服
  • 扫码咨询
会员Q群
  • 会员专属群点击这里加入QQ群
客服邮箱
回到顶部