电脑桌面
添加小米粒文库到电脑桌面
安装后可以在桌面快捷访问

(完整版)高等数学笔记VIP免费

(完整版)高等数学笔记_第1页
1/30
(完整版)高等数学笔记_第2页
2/30
(完整版)高等数学笔记_第3页
3/30
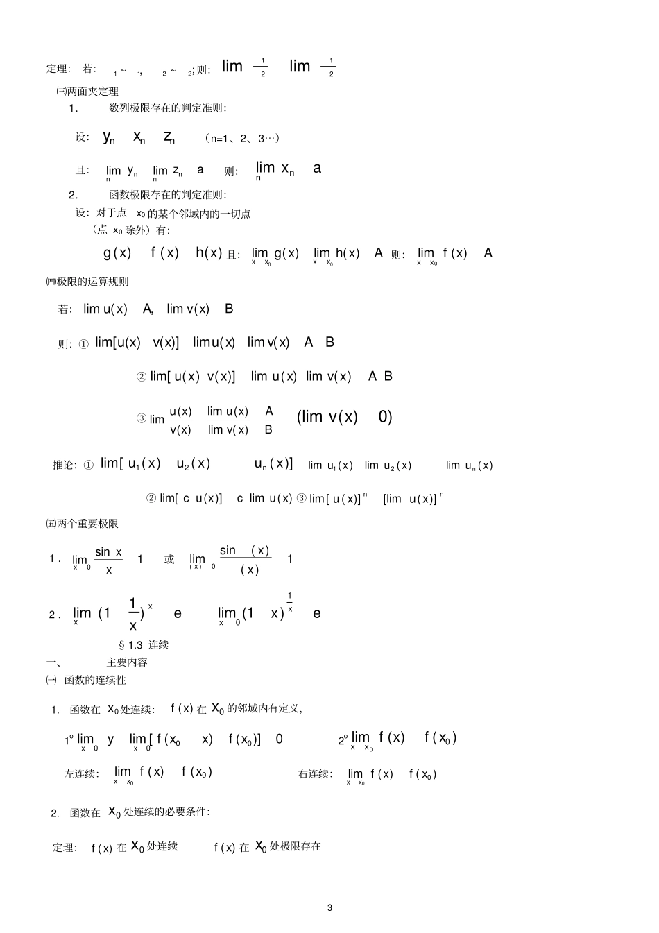
1第一章函数、极限和连续§1.1函数一、主要内容㈠函数的概念1.函数的定义:y=f(x),x∈D定义域:D(f),值域:Z(f).2.分段函数:21)()(DxxgDxxfy3.隐函数:F(x,y)=04.反函数:y=f(x)→x=φ(y)=f-1(y)y=f-1(x)定理:如果函数:y=f(x),D(f)=X,Z(f)=Y是严格单调增加(或减少)的;则它必定存在反函数:y=f-1(x),D(f-1)=Y,Z(f-1)=X且也是严格单调增加(或减少)的。㈡函数的几何特性1.函数的单调性:y=f(x),x∈D,x1、x2∈D当x1<x2时,若f(x1)≤f(x2),则称f(x)在D内单调增加();若f(x1)≥f(x2),则称f(x)在D内单调减少();若f(x1)<f(x2),则称f(x)在D内严格单调增加();若f(x1)>f(x2),则称f(x)在D内严格单调减少()。2.函数的奇偶性:D(f)关于原点对称偶函数:f(-x)=f(x)奇函数:f(-x)=-f(x)3.函数的周期性:周期函数:f(x+T)=f(x),x∈(-∞,+∞)周期:T——最小的正数4.函数的有界性:|f(x)|≤M,x∈(a,b)㈢基本初等函数1.常数函数:y=c,(c为常数)2.幂函数:y=xn,(n为实数)3.指数函数:y=ax,(a>0、a≠1)4.对数函数:y=logax,(a>0、a≠1)5.三角函数:y=sinx,y=conxy=tanx,y=cotxy=secx,y=cscx6.反三角函数:y=arcsinx,y=arcconxy=arctanx,y=arccotx㈣复合函数和初等函数1.复合函数:y=f(u),u=φ(x)y=f[φ(x)],x∈X22.初等函数:由基本初等函数经过有限次的四则运算(加、减、乘、除)和复合所构成的,并且能用一个数学式子表示的函数§1.2极限一、主要内容㈠极限的概念1.数列的极限:Aynnlim称数列ny以常数A为极限;或称数列ny收敛于A.定理:若ny的极限存在ny必定有界.2.函数的极限:⑴当x时,)(xf的极限:AxfAxfAxfxxx)(lim)(lim)(lim⑵当0xx时,)(xf的极限:Axfxx)(lim0左极限:Axfxx)(lim0右极限:Axfxx)(lim0⑶函数极限存的充要条件:定理:AxfxfAxfxxxxxx)(lim)(lim)(lim000㈡无穷大量和无穷小量1.无穷大量:)(limxf称在该变化过程中)(xf为无穷大量。X再某个变化过程是指:,,,xxx000,,xxxxxx2.无穷小量:0)(limxf称在该变化过程中)(xf为无穷小量。3.无穷大量与无穷小量的关系:定理:)0)((,)(1lim0)(limxfxfxf4.无穷小量的比较:0lim,0lim⑴若0lim,则称β是比α较高阶的无穷小量;⑵若clim(c为常数),则称β与α同阶的无穷小量;⑶若1lim,则称β与α是等价的无穷小量,记作:β~α;⑷若lim,则称β是比α较低阶的无穷小量3定理:若:;,2211~~则:2121limlim㈢两面夹定理1.数列极限存在的判定准则:设:nnnzxy(n=1、2、3⋯)且:azynnnnlimlim则:axnnlim2.函数极限存在的判定准则:设:对于点x0的某个邻域内的一切点(点x0除外)有:)()()(xhxfxg且:Axhxgxxxx)(lim)(lim00则:Axfxx)(lim0㈣极限的运算规则若:BxvAxu)(lim,)(lim则:①BAxvxuxvxu)(lim)(lim)]()(lim[②BAxvxuxvxu)(lim)(lim)]()(lim[③BAxvxuxvxu)(lim)(lim)()(lim)0)((limxv推论:①)]()()(lim[21xuxuxun)(lim)(lim)(lim21xuxuxun②)(lim)](lim[xucxuc③nnxuxu)]([lim)](lim[㈤两个重要极限1.1sinlim0xxx或1)()(sinlim0)(xxx2.exxx)11(limexxx10)1(lim§1.3连续一、主要内容㈠函数的连续性1.函数在0x处连续:)(xf在0x的邻域内有定义,1o0)]()([limlim0000xfxxfyxx2o)()(lim00xfxfxx左连续:)()(lim00xfxfxx右连续:)()(lim00xfxfxx2.函数在0x处连续的必要条件:定理:)(xf在0x处连续)(xf在0x处极限存在43.函数在0x处连续的充要条件:定理:)()(lim)(lim)()(lim00000xfxfxfxfxfxxxxxx4.函数在ba,上连续:)(xf在ba,上每一点都连续。在端点a和b连续是指:)()(limafxfax左端点右连续;)()(limbfxfbx右端点左连续。a+0b-x5.函数的间断点:若)(xf在0x处不连续,则0x为)(xf的间断点。间断点有三种情况:1o)(xf在0x处无定义;2o)(lim0xfxx不存在;3o)(xf在0x处有定义,且)(lim0xfxx存在,但)()(lim00xfxfxx。两类间断点的判断:1o第一类间断点:特点:)(lim0xfxx和)(lim0xfxx都存在。可去间断点:)(lim0xfxx存在,但5)()(lim00xfxfxx,或)(xf在0x处无定义。2o第二类间断点:特点:)(lim0xfxx和)(lim0xfxx至少有一个为∞,或)(lim0xfxx振荡不存在。无穷间断点:)(lim0xfxx和)(lim0xfxx至少有一个为∞㈡函数在0x处连续的性质1.连...

1、当您付费下载文档后,您只拥有了使用权限,并不意味着购买了版权,文档只能用于自身使用,不得用于其他商业用途(如 [转卖]进行直接盈利或[编辑后售卖]进行间接盈利)。
2、本站所有内容均由合作方或网友上传,本站不对文档的完整性、权威性及其观点立场正确性做任何保证或承诺!文档内容仅供研究参考,付费前请自行鉴别。
3、如文档内容存在违规,或者侵犯商业秘密、侵犯著作权等,请点击“违规举报”。

碎片内容

(完整版)高等数学笔记

确认删除?
VIP
微信客服
  • 扫码咨询
会员Q群
  • 会员专属群点击这里加入QQ群
客服邮箱
回到顶部