电脑桌面
添加小米粒文库到电脑桌面
安装后可以在桌面快捷访问

整式的乘法计算练习测验题(内含单X单,单X多,多X多,平方差公式,完全平方公式)VIP免费

整式的乘法计算练习测验题(内含单X单,单X多,多X多,平方差公式,完全平方公式)_第1页
1/10
整式的乘法计算练习测验题(内含单X单,单X多,多X多,平方差公式,完全平方公式)_第2页
2/10
整式的乘法计算练习测验题(内含单X单,单X多,多X多,平方差公式,完全平方公式)_第3页
3/10
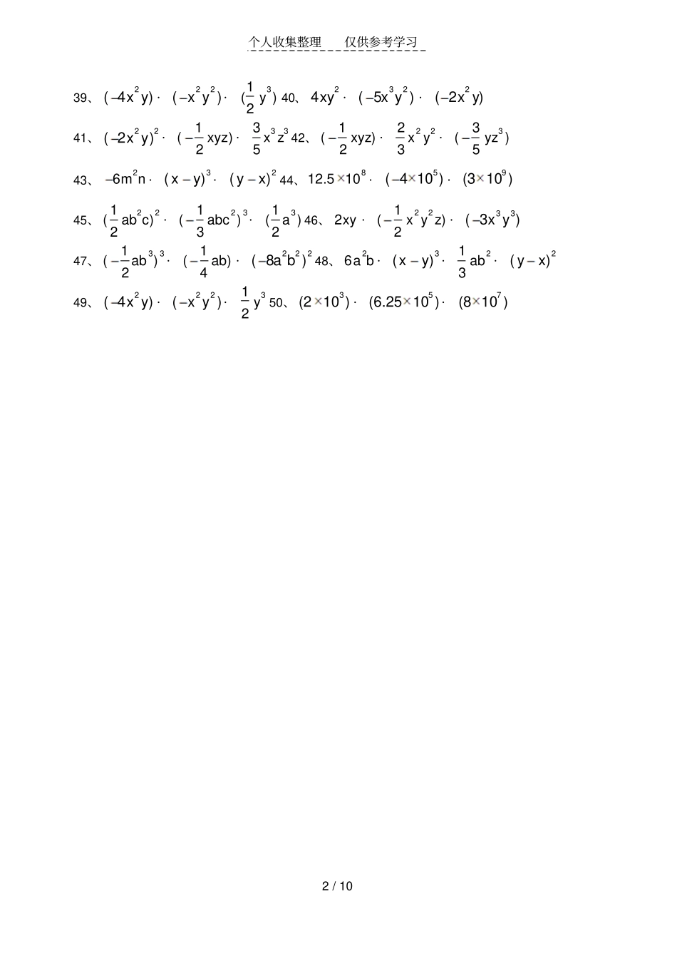
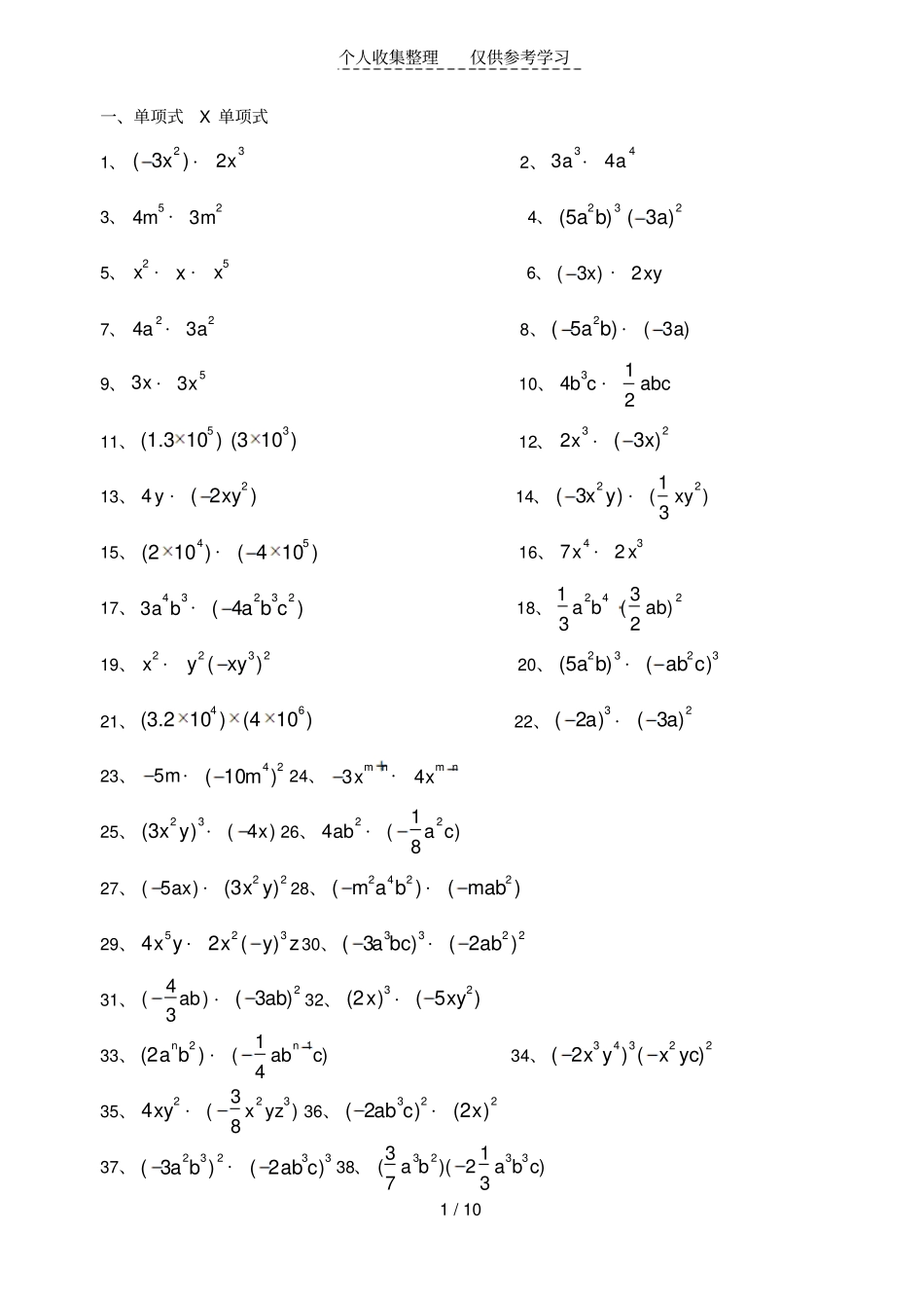
个人收集整理仅供参考学习1/10一、单项式X单项式1、2(3)x·32x2、33a·44a3、54m·23m4、23(5)ab2(3)a5、2x·x·5x6、(3)x·2xy7、24a·23a8、2(5)ab·(3)a9、3x·53x10、34bc·12abc11、5(1.310)3(310)12、32x·2(3)x13、4y·2(2)xy14、2(3)xy·21()3xy15、4(210)·5(410)16、47x·32x17、433ab·232(4)abc18、24213()32abab19、2x·232()yxy20、23(5)ab·23()abc21、46(3.210)(410)22、3(2)a·2(3)a23、5m·42(10)m24、3mnx·4mnx25、23(3)xy·(4)x26、24ab·21()8ac27、(5)ax·22(3)xy28、242()mab·2()mab29、54xy·232()xyz30、33(3)abc·22(2)ab31、4()3ab·2(3)ab32、3(2)x·2(5)xy33、2(2)nab·11()4nabc34、34322(2)()xyxyc35、24xy·233()8xyz36、32(2)abc·2(2)x37、232(3)ab·33(2)abc38、323331()(2)73ababc个人收集整理仅供参考学习2/1039、2(4)xy·22()xy·31()2y40、24xy·32(5)xy·2(2)xy41、22(2)xy·1()2xyz·3335xz42、1()2xyz·2223xy·33()5yz43、26mn·3()xy·2()yx44、812.510·5(410)·9(310)45、221()2abc·231()3abc·31()2a46、2xy·221()2xyz·33(3)xy47、331()2ab·1()4ab·222(8)ab48、26ab·3()xy·213ab·2()yx49、2(4)xy·22()xy·312y50、3(210)·5(6.2510)·7(810)个人收集整理仅供参考学习3/10二、单项式X多项式1、2(1)xx2、2(1)xxx3、23()yxxy4、2()xyxy5、2(1)xx6、2(34)mxy7、11()22abab8、2(1)xxx9、22(321)aab10、23(21)xxx11、4(3)xxy12、()abab13、6(21)xx14、(1)xx15、3(52)aab16、3(25)xx17、212()2xx18、2323(2)aaba19、(3)(6)xyx20、22()xxyxy21、2(4)(2)abb22、2(31)(2)xx23、(2)a·31(1)4a24、2323()(21)2xxx25、22(2)3abab·12ab26、224(35)mmnmn27、2(3)(22)ababab28、5ab·(20.2)ab29、224(2)39aa·(9)a30、23(251)xxx31、22(1)xxx32、2x·21(1)2x33、2123()33xx34、24(231)aaa35、22(3)(21)xxx36、25(1)xyxy37、212(3)2xyxyy38、2223(34)xyxyxy个人收集整理仅供参考学习4/1039、223()abababab40、22(232)abaaba41、213ab·22(639)aabb42、321(248)()2xxx43、322(356)xxx44、3223(36)4abcac·13ab45、(1)2(1)3(25)xxxxxx46、()()()abcbcacab47、223121(3)()232xyyxy48、221(2)2xyxyy·(4)xy49、2325101(1)()335ababab50、221(2)(4)2xyxyyxy个人收集整理仅供参考学习5/10三、多项式X多项式1、(31)(2)xx2、(8)()xyxy3、(1)(5)xx4、(21)(3)xx5、(2)(3)mnmn6、(3)(3)abab7、2(21)(4)xx8、2(3)(25)xx9、(2)(3)xx10、(4)(1)xx11、(4)(2)yy12、(5)(3)yy13、()()xpxq14、(6)(3)xx15、11()()23xx16、(32)(2)xx17、(41)(5)yy18、2(2)(4)xx19、(4)(8)xx20、(4)(9)xx21、(2)(18)xx22、(3)()xxp23、(6)()xxp24、(7)(5)xx25、(1)(5)xx26、11()()32yy27、(2)(3)abab28、(3)(23)tt29、2(45)(2)xxyxy30、(3)(34)yy31、(3)(2)xx32、(2)(2)abab33、(23)(3)xx34、(3)()xxa35、(1)(3)xx36、(2)(2)ab37、(32)(23)xyxy38、(6)(1)xx个人收集整理仅供参考学习6/1039、(3)(34)xyxy40、(2)(1)xx41、(23)(32)xyxy42、2(1)(1)xxx43、22()()abaabb44、22(321)(231)xxxx45、22()()abaabb46、22()()xxyyxy47、22()()xaxaxa48、22()()xyxxyy49、4242(331)(2)xxxx50、22()()xyxxyy个人收集整理仅供参考学习7/10四、平方差公式1、(1)(1)xx2、(21)(21)xx3、(5)(5)xyxy4、(32)(32)xx5、(2)(2)baab6、(2)(2)xyxy7、()()abba8、()()abab9、(32)(32)abab10、5252()()abab11、(25)(25)aa12、(1)(1)mm13、11()()22abab14、(2)(2)abab15、1029816、9710317、475318、22()()()ababab19、(32)(32)abab20、(711)(117)mnnm21、(2)(2)yxxy22、(4)(4)aa23、(25)(25)aa24、(3)(3)abab25、(2)(2)xyxy个人收集整理仅供参考学习8/10五、完全平方公式1、2(1)p2、2(1)p3、2()ab4、2()ab5、2(2)m6、2(2)m7、2(4)mn8、21()2y9、2(3)xy10、2(2)ab11、21()aa12、2(52)xy13、2(2)ab14、21()2xy15、2(23)ab16、2(32)xy17、2(2)mn18、2(22)ac19、2(23)a20、21(3)3xy21、2(32)ab22、222()ab23、22(23)xy24、2(1)xy25、222(1)xy版权申明本文部分内容,包括文字、图片、以及设计等在网上搜集整...

1、当您付费下载文档后,您只拥有了使用权限,并不意味着购买了版权,文档只能用于自身使用,不得用于其他商业用途(如 [转卖]进行直接盈利或[编辑后售卖]进行间接盈利)。
2、本站所有内容均由合作方或网友上传,本站不对文档的完整性、权威性及其观点立场正确性做任何保证或承诺!文档内容仅供研究参考,付费前请自行鉴别。
3、如文档内容存在违规,或者侵犯商业秘密、侵犯著作权等,请点击“违规举报”。

碎片内容

整式的乘法计算练习测验题(内含单X单,单X多,多X多,平方差公式,完全平方公式)

爱的疯狂+ 关注
实名认证
内容提供者

该用户很懒,什么也没介绍

相关文档

确认删除?
VIP
微信客服
  • 扫码咨询
会员Q群
  • 会员专属群点击这里加入QQ群
客服邮箱
回到顶部