电脑桌面
添加小米粒文库到电脑桌面
安装后可以在桌面快捷访问

标准差6718440386VIP免费

标准差6718440386_第1页
1/10
标准差6718440386_第2页
2/10
标准差6718440386_第3页
3/10
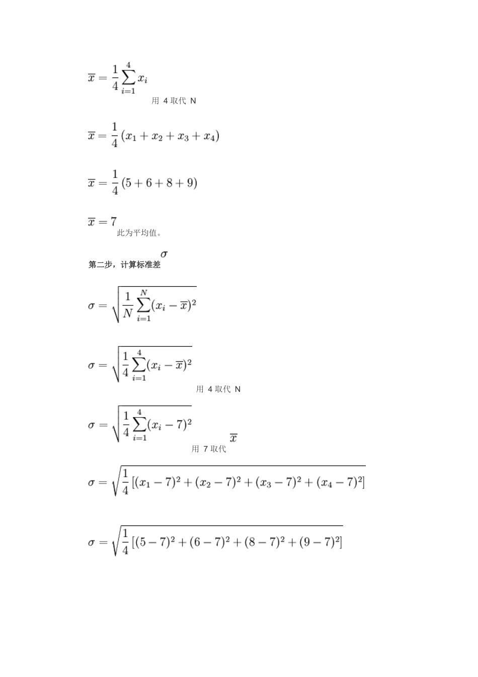
标准差(StandardDeviation),也称均方差(Meansquareerror)标准差是一种表示分散程度的统计观念。标准差已广泛运用在股票以及共同基金投资风险的衡量上,主要是根据基金净值于一段时间内波动的情况计算而来的。一般而言,标准差愈大,表示净值的涨跌较剧烈,风险程度也较大。实务的运作上,可进一步运用单位风险报酬率的概念,同时将报酬率的风险因素考虑在内。所谓单位风险报酬率是指衡量投资人每承担一单位的风险,所能得到的报酬,以夏普指数最常为投资人运用。标准差是一组数值自平均值分散开来的程度的一种测量观念。一个较大的标准差,代表大部分的数值和其平均值之间差异较大;一个较小的标准差,代表这些数值较接近平均值。例如,两组数的集合{0,5,9,14}和{5,6,8,9}其平均值都是7,但第二个集合具有较小的标准差。标准差可以当作不确定性的一种测量。例如在物理科学中,做重复性测量时,测量数值集合的标准差代表这些测量的精确度。当要决定测量值是否符合预测值,测量值的标准差占有决定性重要角色:如果测量平均值与预测值相差太远(同时与标准差数值做比较),则认为测量值与预测值互相矛盾。这很容易理解,因为值都落在一定数值范围之外,可以合理推论预测值是否正确。标准差的简易计算公式假设有一组数值x1,...,xN(皆为实数),其平均值为:此组数值的标准差为:一个较快求解的方式为:一随机变量X的标准差定义为:须注意并非所有随机变量都具有标准差,因为有些随机变量不存在期望值。如果随机变量X为x1,...,xN具有相同机率,则可用上述公式计算标准差。从一大组数值当中取出一样本数值组合x1,...,xn,常定义其样本标准差:[编辑]范例:标准差的计算这里示范如何计算一组数的标准差。例如一群孩童年龄的数值为{5,6,8,9}:第一步,计算平均值n=4(因为集合里有4个数),分别设为:用4取代N此为平均值。第二步,计算标准差用4取代N用7取代[编辑]标准差与平均值之间的关系一组数据的平均值及标准差常常同时做为参考的依据。在直觉上,如果数值的中心以平均值来考虑,则标准差为统计分布之一"自然"的测量。较确切的叙述为:假设x1,...,xn为实数,定义其公式使用微积分,不难算出σ(r)在下面情况下具有唯一最小值:[编辑]标准偏差与标准差的区别标准差(StandardDeviation)各数据偏离平均数的距离(离均差)的平均数,它是离差平方和平均后的方根。用σ表示。因此,标准差也是一种平均数。标准差是方差的算术平方根。标准差能反映一个数据集的离散程度。平均数相同的,标准差未必相同。例如,A、B两组各有6位学生参加同一次语文测验,A组的分数为95、85、75、65、55、45,B组的分数为73、72、71、69、68、67。这两组的平均数都是70,但A组的标准差为17.08分,B组的标准差为2.16分,说明A组学生之间的差距要比B组学生之间的差距大得多。标准偏差(StdDev,StandardDeviation)-统计学名词。一种量度数据分布的分散程度之标准,用以衡量数据值偏离算术平均值的程度。标准偏差越小,这些值偏离平均值就越少,反之亦然。标准偏差的大小可通过标准偏差与平均值的倍率关系来衡量。[编辑]标准差的应用分析[编辑]标准差在投资决策中的应用[1]投资是企业生产经营和发展壮大的必要手段。投资者作出投资决策时,不仅要考虑预期回报,还必须分析比较投资风险。由于投资风险的客观存在性及其对投资收益的不利性,投资者在进行投资决策时必须而且也应该对投资风险进行分析,尽可能地测定和量化风险的大小。1、用标准差衡量风险大小。此时的标准差计算公式如下:其中σ为标准差,Pi为期望投资收益率,Pi为一系列可能性事件发生的概率,ri为可能性事件发生时的投资收益。标准差值越小,说明投资风险越小。假设投资者要在A、B两个项目中选择一个或两个项目进行投资。估计第二年每个项目的收益率可能有四个结果,每个结果都有一个确定的概率与之对应。如下表所示,表中r为收益率,p为收益率实现的可能性。表1A、B两项目的收益率分布A项目B项目rprp10.2O.251.OO.052O.14O.25O.6O.230.100.25O.1O.740.04O.25-1.O0.05投资项目A、B的期望收益率分别为:计算结果表明,A项目的期望...

1、当您付费下载文档后,您只拥有了使用权限,并不意味着购买了版权,文档只能用于自身使用,不得用于其他商业用途(如 [转卖]进行直接盈利或[编辑后售卖]进行间接盈利)。
2、本站所有内容均由合作方或网友上传,本站不对文档的完整性、权威性及其观点立场正确性做任何保证或承诺!文档内容仅供研究参考,付费前请自行鉴别。
3、如文档内容存在违规,或者侵犯商业秘密、侵犯著作权等,请点击“违规举报”。

碎片内容

标准差6718440386

您可能关注的文档

确认删除?
VIP
微信客服
  • 扫码咨询
会员Q群
  • 会员专属群点击这里加入QQ群
客服邮箱
回到顶部