电脑桌面
添加小米粒文库到电脑桌面
安装后可以在桌面快捷访问

注册电气公共基础 第8讲 高等数学(八)(XXXX新版)VIP免费

注册电气公共基础 第8讲 高等数学(八)(XXXX新版)_第1页
1/6
注册电气公共基础 第8讲 高等数学(八)(XXXX新版)_第2页
2/6
注册电气公共基础 第8讲 高等数学(八)(XXXX新版)_第3页
3/6
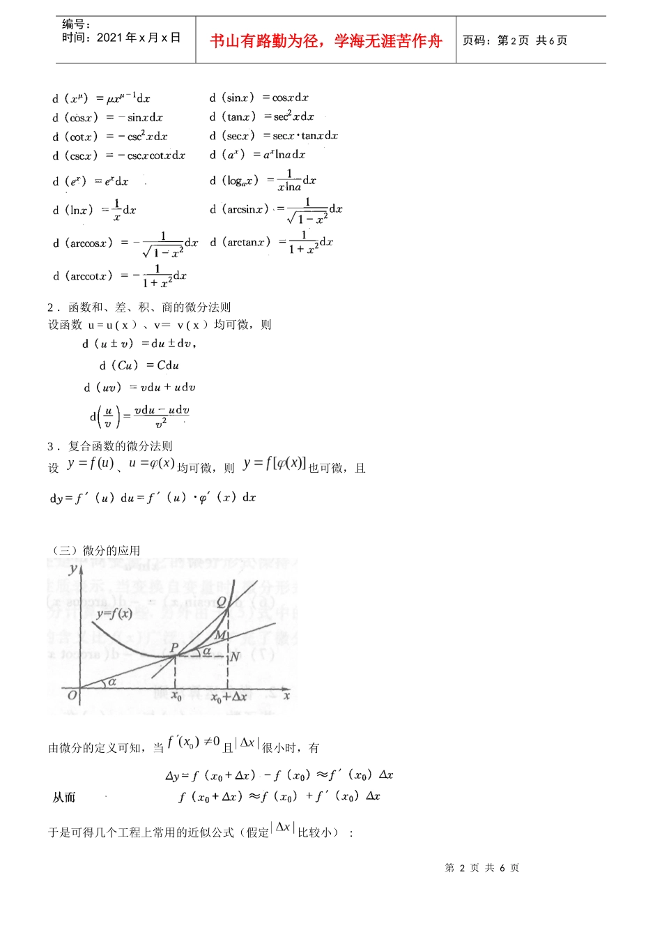
第1页共6页编号:时间:2021年x月x日书山有路勤为径,学海无涯苦作舟页码:第1页共6页四、微分及其应用(一)微分概念1.微分的定义设函数y=f(x)在某区间I内有定义,。若函数的增量其中A是不依赖的常数,则称y=f(x)在点x0可微分,叫做y=f(x)在点x0相应于自变量增量的微分,记作dy,即函数y=f(x)劝在点x的微分称为函数y=f(x)的微分,记作dy或df(x)。2.函数可微分的充分必要条件函数y=f(x)在点x0可微分的充分必要条件是f(x)在点x0可导,且当f(x)在点xo可导时,其微分一定是函数的微分是通常把称为自变量的微分,记作dx,即于是函数的微分可写成而导数可写成即导数等于函数的微分dy与自变量的微分dx之商。(二)基本微分公式与微分法则1.基本微分公式第2页共6页第1页共6页编号:时间:2021年x月x日书山有路勤为径,学海无涯苦作舟页码:第2页共6页2.函数和、差、积、商的微分法则设函数u=u(x)、v=v(x)均可微,则3.复合函数的微分法则设、均可微,则也可微,且(三)微分的应用由微分的定义可知,当且很小时,有于是可得几个工程上常用的近似公式(假定比较小):第3页共6页第2页共6页编号:时间:2021年x月x日书山有路勤为径,学海无涯苦作舟页码:第3页共6页(四)例题【例1-2-29】[解]【例1-2-30】[解]【例1-2-31】计算sin30°30`的近似值。【解】把sin30°30`化为弧度,得【例1-2-32】计算的近似值。第4页共6页第3页共6页编号:时间:2021年x月x日书山有路勤为径,学海无涯苦作舟页码:第4页共6页五、中值定理与导数的应用(一)中值定理1.若函数f(x)在闭区间[a,b]上连续,在开区间(a,b)内可导,且f(a)=f(b),则至少有一点ξ∈(a,b),使得f'(ξ)=0。2.拉格朗日中值定理若函数f(x)在闭区间[a,b]上连续,在开区间(a,b)内可导,则至少有一点ξ∈(a,b),使得下式成立(二)求未定式的值的方法―罗必塔法则1.未定式与的情形关于要的情形:设(1)当x→a(或x→∞)时,f(x)→0且F(x)→0,(2)在点a的某去心邻域内(或当|X|>N时),f'(x)及F'(x)都存在且F'(x)0,第5页共6页第4页共6页编号:时间:2021年x月x日书山有路勤为径,学海无涯苦作舟页码:第5页共6页则若仍属型,且f'(x)、F'(x)满足上述三个条件,则可继续运用罗必塔法则,即对于型,也有相应的罗必塔法则,这里不再赘述。2.其他形式的未定式的情形其他尚有0·、-、00、1、0型的未定式,它们均可通过变形化成或的情形。如0·型可变形成或,-型通过通分,00、1、0通过取对数变形。(三)函数性态的判别1.函数单调性的判定利用一阶导数的符号判定,如表1-2-1所示。2.函数极值的判定利用一阶导数判定,如表1-2-2所示。利用二阶导数判定,如表1-2-3所示。3.曲线凹、凸及其拐点的判定利用二阶导数的符号判定曲线的凹、凸,如表1-2-4所示。连续曲线y=f(x)上凹弧与凸弧的分界点称为这曲线的拐点。如果f"(x0)=0,而f"(x)在x0的左右两侧邻近异号,则点(x0,f(xo))就是一个拐点。4.曲线的渐近线第6页共6页第5页共6页编号:时间:2021年x月x日书山有路勤为径,学海无涯苦作舟页码:第6页共6页若=y0,则曲线y=f(x)有水平渐近线y=y0;若=,则曲线y=f(x)有铅直渐近线x=x0;(四)最大值最小值问题设f(x)在闭区间[a,b]上连续、除个别点外处处可导且至多在有限个点处导数为零,求f(x)在[a,b]上的最大值与最小值的一般方法:设f(x)在(a,b)内的驻点及不可导点为x1,…,xn,则比较的大小,其中最大的便是最大值,最小的便是最小值。

1、当您付费下载文档后,您只拥有了使用权限,并不意味着购买了版权,文档只能用于自身使用,不得用于其他商业用途(如 [转卖]进行直接盈利或[编辑后售卖]进行间接盈利)。
2、本站所有内容均由合作方或网友上传,本站不对文档的完整性、权威性及其观点立场正确性做任何保证或承诺!文档内容仅供研究参考,付费前请自行鉴别。
3、如文档内容存在违规,或者侵犯商业秘密、侵犯著作权等,请点击“违规举报”。

碎片内容

注册电气公共基础 第8讲 高等数学(八)(XXXX新版)

确认删除?
VIP
微信客服
  • 扫码咨询
会员Q群
  • 会员专属群点击这里加入QQ群
客服邮箱
回到顶部