电脑桌面
添加小米粒文库到电脑桌面
安装后可以在桌面快捷访问

2020届高考化学 有机大题专题(有答案)VIP免费

2020届高考化学 有机大题专题(有答案)_第1页
1/21
2020届高考化学 有机大题专题(有答案)_第2页
2/21
2020届高考化学 有机大题专题(有答案)_第3页
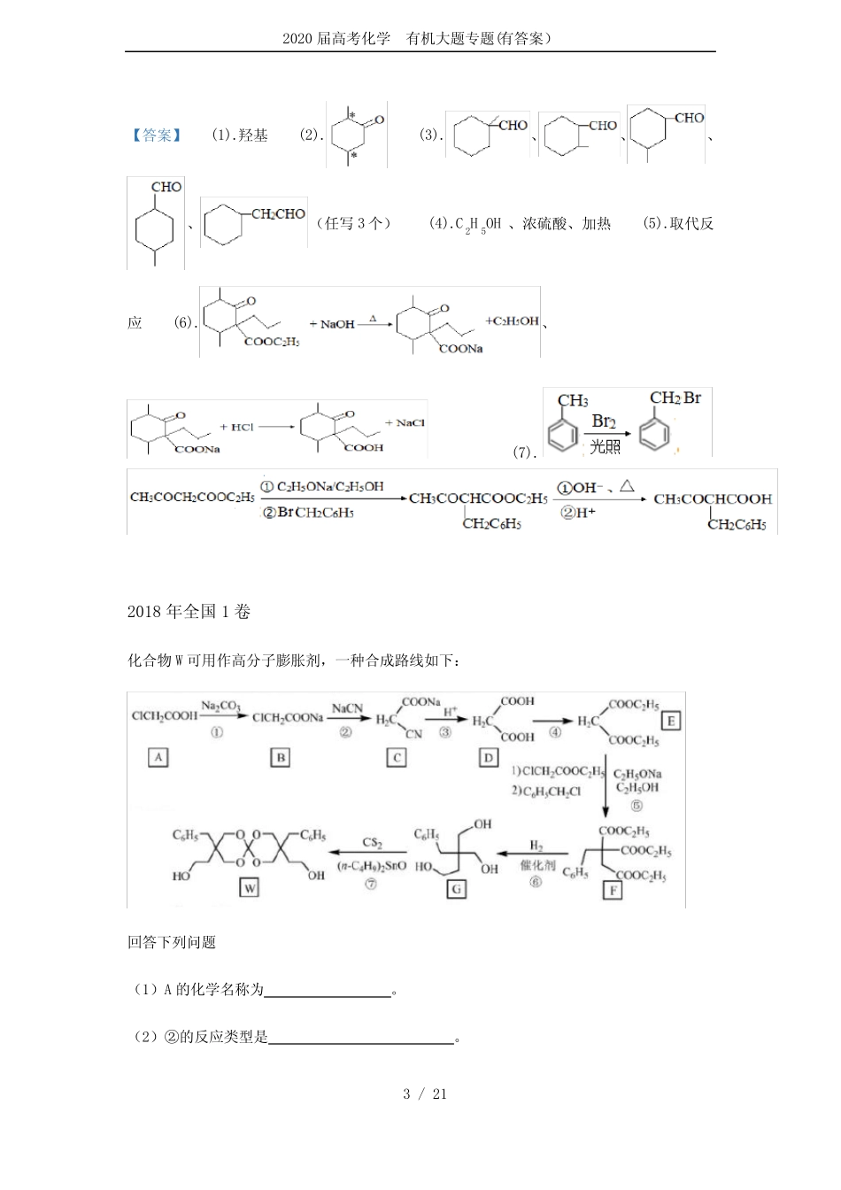
3/21
2020届高考化学有机大题专题(有答案)1/21全国卷1卷高考化学有机大题专题非选择题即大题共4道,包括3道必做题,1道选做题(选做题建议选择有机大题)题型分析有机大题整体难度偏高,试题的一体性较强,需要学生推断正确才能准确回答题目问题,对学生的知识运用能力,题目的分析能力有比较高的要求。整体难度中等。有机大题考查形式:1、有机物化学式、结构简式、官能团、键的推断判断2、有机反应类型判断3、方程式4、同分异构体5、合成途径6、操作过程判断有机大题解题要点是抓住“题眼”,再准确推断。有机大题整体性比较强,某个环节推断不出可能会影响整体做题效果。题目推断有正推法和逆推法,逆推法更适合有机推断,值得注意!2020届高考化学有机大题专题(有答案)2/21【真题回顾】2019全国1卷化合物G是一种药物合成中间体,其合成路线如下:回答下列问题:(1)A中的官能团名称是__________。(2)碳原子上连有4个不同的原子或基团时,该碳称为手性碳。写出B的结构简式,用星号(*)标出B中的手性碳__________。(3)写出具有六元环结构、并能发生银镜反应的B的同分异构体的结构简式__________。(不考虑立体异构,只需写出3个)(4)反应④所需的试剂和条件是__________。(5)⑤的反应类型是__________。(6)写出F到G的反应方程式__________。(7)设计由甲苯和乙酰乙酸乙酯(CH3COCH2COOC2H5)制备的合成路线__________(无机试剂任选)。2020届高考化学有机大题专题(有答案)3/21【答案】(1).羟基(2).(3).、、、、(任写3个)(4).C2H5OH、浓硫酸、加热(5).取代反应(6).、(7).2018年全国1卷化合物W可用作高分子膨胀剂,一种合成路线如下:回答下列问题(1)A的化学名称为。(2)②的反应类型是。2020届高考化学有机大题专题(有答案)4/21(3)反应④所需试剂,条件分别为。(4)G的分子式为。(5)W中含氧官能团的名称是。(6)写出与E互为同分异构体的酯类化合物的结构简式(核磁共振氢谱为两组峰,峰面积比为1:1)(7)苯乙酸苄酯()是花香型香料,设计由苯甲醇为起始原料制备苯乙酸苄酯的合成路线(无机试剂任选)。【答案】一氯乙酸;取代反应;乙醇/浓硫酸、加热;C12H18O3;醚键、羟基;;;2017年全国1卷化合物H是一种有机光电材料中间体。实验室由芳香化合物A制备H的一种合成路线如下:回答下列问题:(1)A的化学名称为__________。(2)由C生成D和E生成F的反应类型分别为__________、_________。2020届高考化学有机大题专题(有答案)5/21(3)E的结构简式为____________。(4)G为甲苯的同分异构体,由F生成H的化学方程式为___________。(5)芳香化合物X是F的同分异构体,X能与饱和碳酸氢钠溶液反应放出CO2,其核磁共振氢谱显示有4种不同化学环境的氢,峰面积比为6∶2∶2∶1,写出2种符合要求的X的结构简式____________。(6)写出用环戊烷和2-丁炔为原料制备化合物的合成路线________(其他试剂任选)。【答案】(1)苯甲醛(2)加成反应取代反应(3)(4)(5)、、、(任写两种)(6)2020届高考化学有机大题专题(有答案)6/21【专题训练】1.医用麻醉药苄佐卡因E和食品防腐剂J的合成路线如下:已知:Ⅰ.M代表E分子结构中的一部分请回答下列问题:(1)A属于芳香烃,其结构简式是________________________________________________________________________。(2)E中所含官能团的名称是________。(3)C能与NaHCO3溶液反应,反应①的化学方程式为________________________________________________________________________。(4)反应②、③中试剂ⅱ和试剂ⅲ依次是________。(5)I在一定条件下可形成高分子化合物,其化学方程式为________________________________________________________________________。(6)J有多种同分异构体,其中符合下列条件的同分异构体有________种。a.为苯的二元取代物,其中一个取代基为羟基2020届高考化学有机大题专题(有答案)7/21b.与J具有相同的官能团,且能发生银镜反应(7)以A为起始原料,选用必要的无机试剂合成涂改液的主要成分亚甲基环己烷(),写出合成路线(用结构简式表示有机物,用箭头表示转化关系,箭头上注明试剂和反应条件...

1、当您付费下载文档后,您只拥有了使用权限,并不意味着购买了版权,文档只能用于自身使用,不得用于其他商业用途(如 [转卖]进行直接盈利或[编辑后售卖]进行间接盈利)。
2、本站所有内容均由合作方或网友上传,本站不对文档的完整性、权威性及其观点立场正确性做任何保证或承诺!文档内容仅供研究参考,付费前请自行鉴别。
3、如文档内容存在违规,或者侵犯商业秘密、侵犯著作权等,请点击“违规举报”。

碎片内容

2020届高考化学 有机大题专题(有答案)

您可能关注的文档

确认删除?
VIP
微信客服
  • 扫码咨询
会员Q群
  • 会员专属群点击这里加入QQ群
客服邮箱
回到顶部