电脑桌面
添加小米粒文库到电脑桌面
安装后可以在桌面快捷访问

高三文科数学周练测试卷(四)答案VIP免费

高三文科数学周练测试卷(四)答案_第1页
1/5
高三文科数学周练测试卷(四)答案_第2页
2/5
高三文科数学周练测试卷(四)答案_第3页
3/5
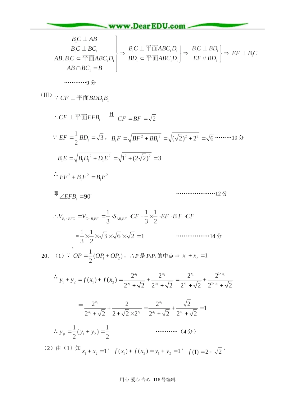
高三文科数学周练测试(四)参考答案2007.10.16一、选择题:每小题5分,共30分题号123456答案CCCDAC二、填空题:每小题5分,共50分7.8.9.10.11.12.13.14.15.16.三、解答题:第17题12分,第18,19题每题14分,第20,21题每题15分,共70分17.解:(1)............5分(2)....................................7分........................12分18.解:(1)由余弦定理得:..............3分.......................................................6分............................7分用心爱心专心116号编辑(2)中①..............8分②...........9分②÷①得..................................................12分.......................................14分另解:(2)同理19.证明:(Ⅰ)连结,在中,、分别为,的中点,则……………4分(Ⅱ)用心爱心专心116号编辑CDBFED1C1B1AA1…………9分(Ⅲ)且,………10分∴即…………………12分==………………14分20.(1),∴P是P1P2的中点∴=∴…………(4分)(2)由(1)知,,,用心爱心专心116号编辑,相加得(n-1个1)∴…………(8分)(3)…………(10分),当且仅当n=4时,取“=”∴,因此,…………(15分)21.解:(1).…4分(2),……7分,当时,.……10分(3)所给数列可推广为无穷数列,其中是首项为1,公差为1的等差数列,用心爱心专心116号编辑当时,数列是公差为的等差数列.……12分研究的问题可以是:试写出关于的关系式,并求的取值范围.…14分研究的结论可以是:由,依次类推可得当时,的取值范围为等.…15分用心爱心专心116号编辑

1、当您付费下载文档后,您只拥有了使用权限,并不意味着购买了版权,文档只能用于自身使用,不得用于其他商业用途(如 [转卖]进行直接盈利或[编辑后售卖]进行间接盈利)。
2、本站所有内容均由合作方或网友上传,本站不对文档的完整性、权威性及其观点立场正确性做任何保证或承诺!文档内容仅供研究参考,付费前请自行鉴别。
3、如文档内容存在违规,或者侵犯商业秘密、侵犯著作权等,请点击“违规举报”。

碎片内容

高三文科数学周练测试卷(四)答案

您可能关注的文档

慧源书店+ 关注
实名认证
内容提供者

从事历史教学,热爱教育,高度负责。

确认删除?
VIP
微信客服
  • 扫码咨询
会员Q群
  • 会员专属群点击这里加入QQ群
客服邮箱
回到顶部