电脑桌面
添加小米粒文库到电脑桌面
安装后可以在桌面快捷访问

高三文科数学单元测试卷(一)答案VIP免费

高三文科数学单元测试卷(一)答案_第1页
1/3
高三文科数学单元测试卷(一)答案_第2页
2/3
高三文科数学单元测试卷(一)答案_第3页
3/3
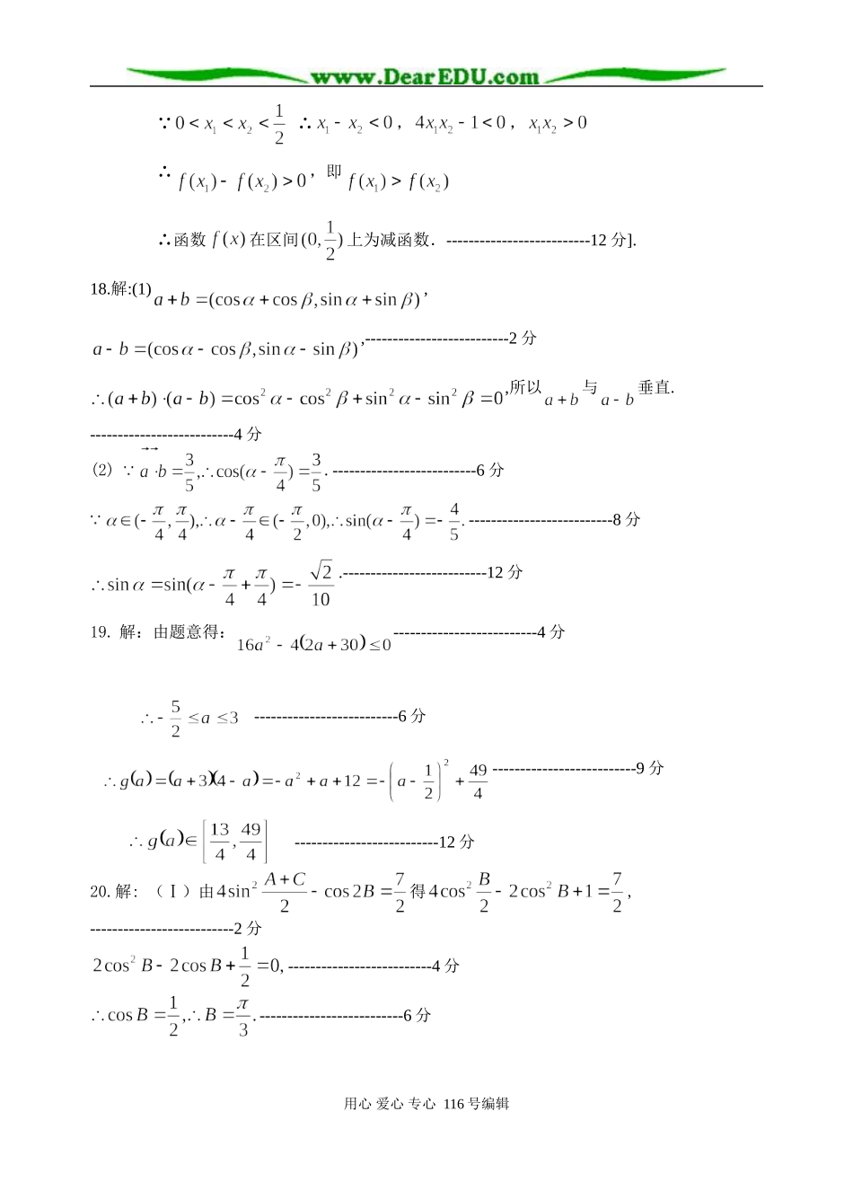
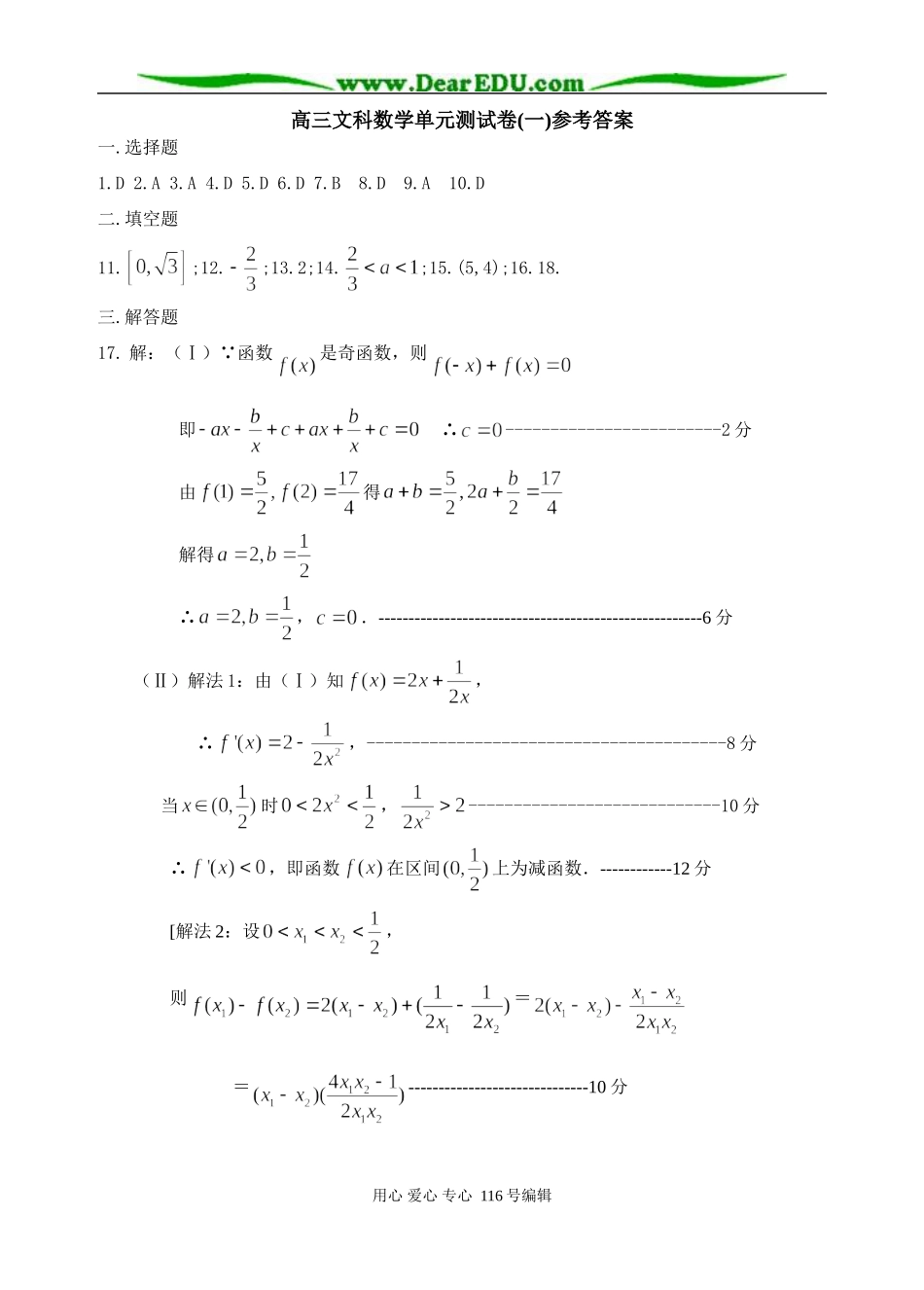
高三文科数学单元测试卷(一)参考答案一.选择题1.D2.A3.A4.D5.D6.D7.B8.D9.A10.D二.填空题11.;12.;13.2;14.;15.(5,4);16.18.三.解答题17.解:(Ⅰ)∵函数是奇函数,则即∴------------------------2分由得解得∴,.------------------------------------------------------6分(Ⅱ)解法1:由(Ⅰ)知,∴,----------------------------------------8分当时,----------------------------10分∴,即函数在区间上为减函数.------------12分[解法2:设,则==------------------------------10分用心爱心专心116号编辑∵∴,,∴,即∴函数在区间上为减函数.--------------------------12分].18.解:(1),,--------------------------2分,所以与垂直.--------------------------4分(2).--------------------------6分--------------------------8分.--------------------------12分19.解:由题意得:--------------------------4分--------------------------6分--------------------------9分--------------------------12分20.解:(Ⅰ)由得,--------------------------2分--------------------------4分--------------------------6分用心爱心专心116号编辑(Ⅱ),①,--------------------------8分由得②,由①②得--------------------------10分.--------------------------12分21.证明:(1)取AB中点G,连结CG,FG.因为F是中点,所以FG=EA,FG∥EA.又CD=EA,CD∥EA.所以四边形CDFG为平行四边形,FD∥CG,所以FD∥平面ABC.--------------------------5分(2)△ABC是正三角形,G是中点,CG⊥AB,-----------------------7分EA⊥平面ABC,EA⊥CG,CG⊥平面EAB.--------------------------9分FD∥CG,FD⊥平面ABE.--------------------------10分(3)FD⊥平面ABE,FD⊥AF,--------------------------12分EA=AB,F是中点,AF⊥EB,--------------------------14分AF⊥平面EDB.--------------------------16分22.解:①设等比数列{an}的公比为q,(常数)数列{bn}成等差数列--------------------------6分②数列{bn}是以为首项,以为公差的等差数列--------------------------10分--------------------------12分--------------------------14分--------------------------16分用心爱心专心116号编辑

1、当您付费下载文档后,您只拥有了使用权限,并不意味着购买了版权,文档只能用于自身使用,不得用于其他商业用途(如 [转卖]进行直接盈利或[编辑后售卖]进行间接盈利)。
2、本站所有内容均由合作方或网友上传,本站不对文档的完整性、权威性及其观点立场正确性做任何保证或承诺!文档内容仅供研究参考,付费前请自行鉴别。
3、如文档内容存在违规,或者侵犯商业秘密、侵犯著作权等,请点击“违规举报”。

碎片内容

高三文科数学单元测试卷(一)答案

您可能关注的文档

慧源书店+ 关注
实名认证
内容提供者

从事历史教学,热爱教育,高度负责。

确认删除?
VIP
微信客服
  • 扫码咨询
会员Q群
  • 会员专属群点击这里加入QQ群
客服邮箱
回到顶部