电脑桌面
添加小米粒文库到电脑桌面
安装后可以在桌面快捷访问

高三数学(理)极限人教版知识精讲VIP免费

高三数学(理)极限人教版知识精讲_第1页
1/8
高三数学(理)极限人教版知识精讲_第2页
2/8
高三数学(理)极限人教版知识精讲_第3页
3/8
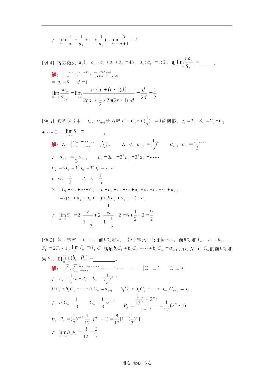
高三数学(理)极限人教版【同步教育信息】一.本周教学内容:极限二.重点、难点:1.数学归纳法证时需用到成立的结论2.数列极限()3.函数极限、连续在处连续【典型例题】[例1],则。解:原式∴∴[例2],则。解:∴∴[例3]若是展开式中项系数,则=。解:∴用心爱心专心∴[例4]等差数列,,,则。解:[例5]数列中,,为方程的两根,,,。解:∴∴∴…………∴∴[例6]等差,,前项和,等比,公比,前项和,,,,满足(),的前项和为,则。解:∴∴∴用心爱心专心[例7],的图象为。解:,,,,[例8],则。解:∴∴∴∴∴[例9]关于的三次四项式,,则。解:∴∴[例10]。解:用心爱心专心[例11],则。解:原式∴∴[例12]在处连续,则。解:∴[例13]如图,曲线上点,……与轴上点O、Q1、Q2……构成一条列正,即,…………,设边为,边长为。(1)求,(2)求(3)面积为,令,又证面积为,求。解:(1)用心爱心专心代入(2)设∴代入∴∴∴等差数列∴(3)∴[例14]数列满足,(1)求通项;(2)设,是否存在A、B、C使一切,成立,并证明你的结论;(3)求证:,。解:(1)∴(2)∴∴存在,A、B、C使(3)①时,成立②假设时成立,当时,用心爱心专心综上所述,由①②命题对一切恒成立【模拟试题】(答题时间:45分钟)1.的值是()A.2B.C.D.32.已知为公差不为0的等差数列,它的前项和为,则等于()A.B.1C.2D.3.已知,则的取值范围是()A.()B.C.D.4.()A.B.C.D.05.下列各式不正确的是()A.B.C.D.6.()A.B.C.D.7.函数在点连续,是在处有极限的()A.充分不必要条件B.必要不充分条件C.充要条件D.既不充分也不必要条件8.若在点处连续,则()A.B.C.1D.09.已知,则,。10.。11.已知,若在时连续,则。用心爱心专心12.已知,则的取值范围是。13.。用心爱心专心试题答案1.B2.C3.C4.B5.C6.C7.A8.A9.;210.311.612.13.用心爱心专心

1、当您付费下载文档后,您只拥有了使用权限,并不意味着购买了版权,文档只能用于自身使用,不得用于其他商业用途(如 [转卖]进行直接盈利或[编辑后售卖]进行间接盈利)。
2、本站所有内容均由合作方或网友上传,本站不对文档的完整性、权威性及其观点立场正确性做任何保证或承诺!文档内容仅供研究参考,付费前请自行鉴别。
3、如文档内容存在违规,或者侵犯商业秘密、侵犯著作权等,请点击“违规举报”。

碎片内容

高三数学(理)极限人教版知识精讲

慧源书店+ 关注
实名认证
内容提供者

从事历史教学,热爱教育,高度负责。

确认删除?
VIP
微信客服
  • 扫码咨询
会员Q群
  • 会员专属群点击这里加入QQ群
客服邮箱
回到顶部