电脑桌面
添加小米粒文库到电脑桌面
安装后可以在桌面快捷访问

高三数学理解三角形人教版知识精讲VIP免费

高三数学理解三角形人教版知识精讲_第1页
1/5
高三数学理解三角形人教版知识精讲_第2页
2/5
高三数学理解三角形人教版知识精讲_第3页
3/5
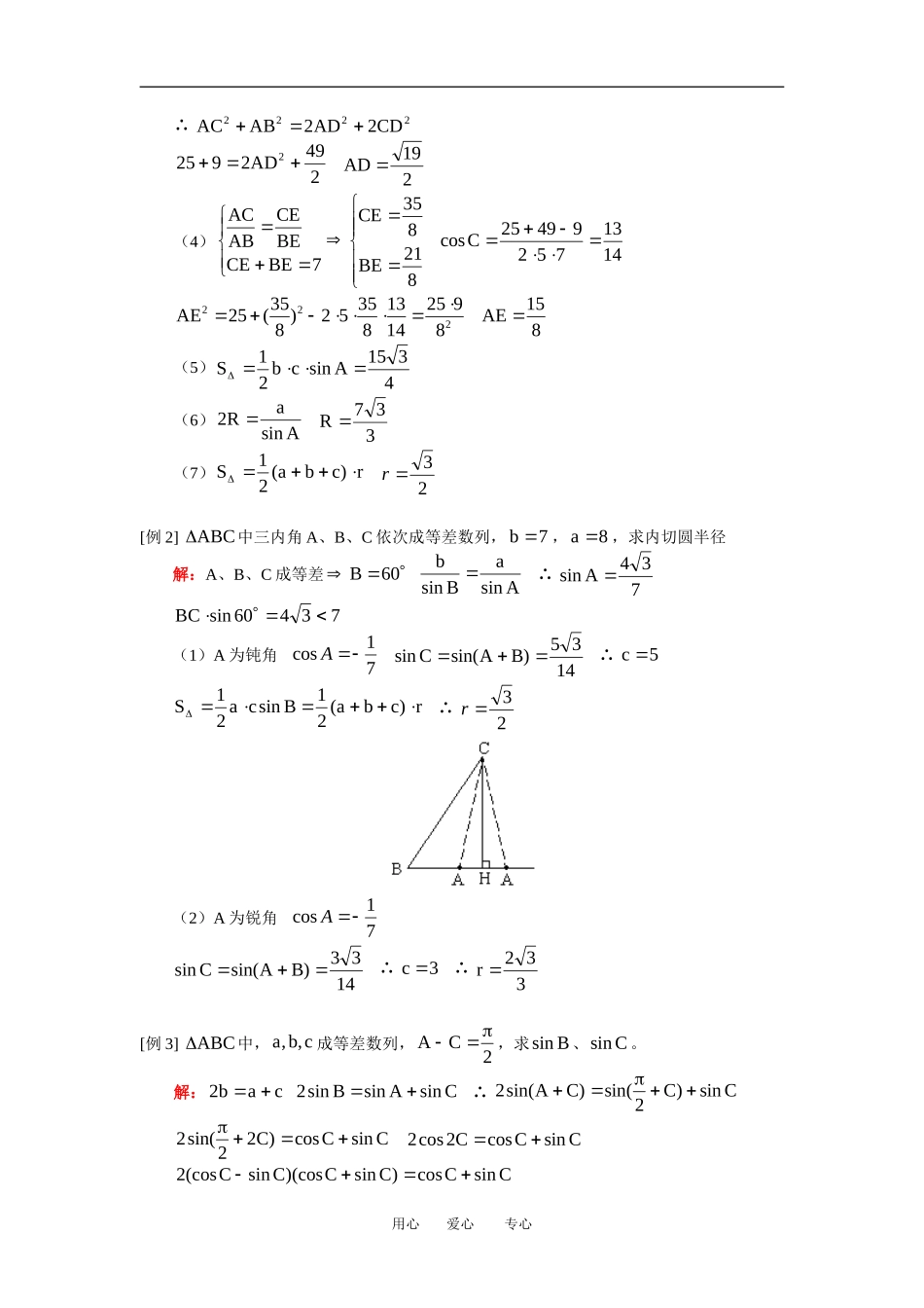
高三数学理解三角形人教版【同步教育信息】一.本周教学内容:解三角形二.重点、难点:ABC中六个基本量:A、B、C、a、b、c1.A+B+C=180°2.cba3.R2CsincBsinbAsina(R为外接圆半径)4.Acosbc2cba2225.r)cba(21Csinab21S(r为内切圆半径)【典型例题】[例1]ABC中,7a,3c,5b(1)求角A(2)求高AH(3)求中线AD(4)求角平分线AE(5)求面积(6)求外接圆半径(7)求内切圆半径解:(1)213015bc2acbAcos222120A(2)4315sin21AcbS14315AHaAH21S(3)cosCDAD2CDADAC222)cos(BDAD2BDADAB222用心爱心专心∴2222CD2AD2ABAC249AD29252219AD(4)821BE835CE7BECEBECEABAC141375294925Ccos2228925141383552)835(25AE815AE(5)4315Asincb21S(6)AsinaR2337R(7)r)cba(21S23r[例2]ABC中三内角A、B、C依次成等差数列,7b,8a,求内切圆半径解:A、B、C成等差60BAsinaBsinb∴734Asin73460sinBC(1)A为钝角71cosA1435)BAsin(Csin∴5cr)cba(21Bsinca21S∴23r(2)A为锐角71cosA1433)BAsin(Csin∴3c∴332r[例3]ABC中,c,b,a成等差数列,2CA,求Bsin、Csin。解:cab2CsinAsinBsin2∴Csin)C2sin()CAsin(2CsinCcos)C22sin(2CsinCcosC2cos2CsinCcos)CsinC)(cosCsinC(cos2用心爱心专心∴1CcosCsin21CsinCcos22∴417cos,417sinCC∴47Bsin[例4]锐角ABC,CBA,60B,外接圆半径为1,且)C2cos1)(A2cos1(213,求三边长。解:2)213()2cos1()2cos1(CA222)213(Ccos2Acos2413CcosAcos 60B∴120CACACACAsinsincoscos)cos(∴413sinsinCA∴23CsinAsinAcosCcos)ACcos(∴30AC∴45A60B75C∴2a3b226c[例5]ABC中,3b,32c,A的平分线AD=2,求三个内角。解:ABCACDABDSSS2AsinADAC212AsinADAB21AsinACAB212Acos2Asin62Asin32Asin32∴232Acos3A93cosACAB2ACABBCa2222∴3a222cba∴2C∴6B[例6])1,0(m,)2Ccos2,A(cosn2,其中A、B、C为ABC内角,且A、B、C依次成等差数列,求nm的取值范围。解:60BCAB2)Ccos,A(cos)12Ccos2,A(cosnm2用心爱心专心∴CcosAcosnm222]C2cos1A2cos1[21)]234cos(2cos2[21AA)3A2cos(21132A0353A2321)3A2cos(1∴)45,21[2nm∴)25,22[nm[例7]锐角ABC,Atan,Btan,Ctan成等差数列且)x(f满足A2csc)C(tanf(1)0x时,)x(f表达式(2)Ctanx时)x(f最小,求ABC的最小角。解:)CAtan(2Btan2CtanAtan∴CtanAtan1CtanAtan2CtanAtan∴3tantanCAAtan2Atan1A2sin1A2csc)C(tanf2Ctan69CtanCtan32)Ctan3(122∴x69x)x(f2(2)1221)33(21)(xxxf当且仅当3x时,即3Ctan,取最小值。∴1Atan∴2Btan∴A为最小角4A【模拟试题】(答题时间:40分钟)1.有分别满足下列条件的两个三角形:(1)7b,14a,30B;(2)60B,9b,10a,那么下面判断正确的是()A.(1)只有一解,(2)也只有一解B.(1)、(2)都有两解C.(1)有两解,(2)有一解D.(1)只有一解,(2)有两解2.在ABC中,若B3sinA3sin,则A、B的关系是()A.BAB.3BAC.A=B或3BAD.3BA或3BA3.已知a、b、c是ABC三边之长,若满足等式ab)cba)(cba(,则角C的大小为()A.60B.90C.120D.1504.已知R是ABC的外接圆半径,若BcosAcosR4ab2,则ABC的外心位于()A.三角形的外部B.三角形的边上C.三角形的内部D.三角形的内部或外部,但不会在边上...

1、当您付费下载文档后,您只拥有了使用权限,并不意味着购买了版权,文档只能用于自身使用,不得用于其他商业用途(如 [转卖]进行直接盈利或[编辑后售卖]进行间接盈利)。
2、本站所有内容均由合作方或网友上传,本站不对文档的完整性、权威性及其观点立场正确性做任何保证或承诺!文档内容仅供研究参考,付费前请自行鉴别。
3、如文档内容存在违规,或者侵犯商业秘密、侵犯著作权等,请点击“违规举报”。

碎片内容

高三数学理解三角形人教版知识精讲

您可能关注的文档

确认删除?
VIP
微信客服
  • 扫码咨询
会员Q群
  • 会员专属群点击这里加入QQ群
客服邮箱
回到顶部