电脑桌面
添加小米粒文库到电脑桌面
安装后可以在桌面快捷访问

高三数学复习之30分钟小练习(23)VIP免费

高三数学复习之30分钟小练习(23)_第1页
1/4
高三数学复习之30分钟小练习(23)_第2页
2/4
高三数学复习之30分钟小练习(23)_第3页
3/4
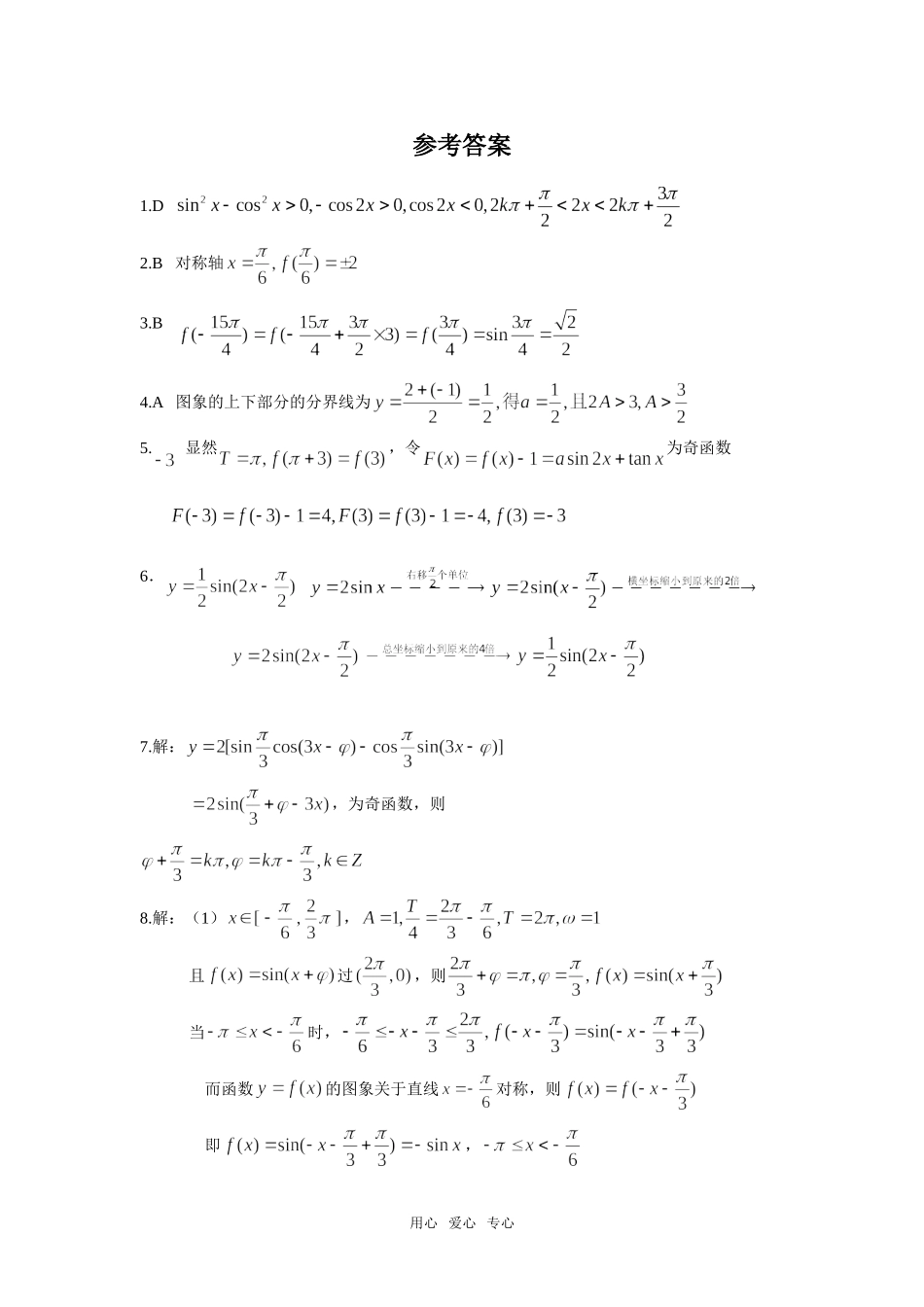
高三数学复习之30分钟小练习(23)1.函数的定义城是A.B.C.D.2.已知函数对任意都有则等于A.或B.或C.D.或3.设是定义域为,最小正周期为的函数,若则等于A.B.C.D.4.曲线在区间上截直线及所得的弦长相等且不为,则下列对的描述正确的是A.B.C.D.5.若函数,且则___________。6.已知函数的图象上的每一点的纵坐标扩大到原来的倍,横坐标扩大到原来的倍,然后把所得的图象沿轴向左平移,这样得到的曲线和的图象相同,用心爱心专心则已知函数的解析式为_______________________________.7.求使函数是奇函数。8.已知定义在区间上的函数的图象关于直线对称,当时,函数,其图象如图所示.(1)求函数在的表达式;(2)求方程的解.用心爱心专心xyoπ16x326参考答案1.D2.B对称轴3.B4.A图象的上下部分的分界线为5.显然,令为奇函数6.7.解:,为奇函数,则8.解:(1),且过,则当时,而函数的图象关于直线对称,则即,用心爱心专心(2)当时,,当时,为所求。天星教育网(www.tesoon.com)版权所有天星教育网(www.tesoon.com)版权所有天星教育网(www.tesoon.com)版权所有天星教育网(www.tesoon.com)版权所有用心爱心专心天Ttesoon天天Ttesoontesoontesoon天星

1、当您付费下载文档后,您只拥有了使用权限,并不意味着购买了版权,文档只能用于自身使用,不得用于其他商业用途(如 [转卖]进行直接盈利或[编辑后售卖]进行间接盈利)。
2、本站所有内容均由合作方或网友上传,本站不对文档的完整性、权威性及其观点立场正确性做任何保证或承诺!文档内容仅供研究参考,付费前请自行鉴别。
3、如文档内容存在违规,或者侵犯商业秘密、侵犯著作权等,请点击“违规举报”。

碎片内容

高三数学复习之30分钟小练习(23)

您可能关注的文档

慧源书店+ 关注
实名认证
内容提供者

从事历史教学,热爱教育,高度负责。

相关文档

确认删除?
VIP
微信客服
  • 扫码咨询
会员Q群
  • 会员专属群点击这里加入QQ群
客服邮箱
回到顶部