电脑桌面
添加小米粒文库到电脑桌面
安装后可以在桌面快捷访问

高三数学向量(理)人教版知识精讲VIP免费

高三数学向量(理)人教版知识精讲_第1页
1/5
高三数学向量(理)人教版知识精讲_第2页
2/5
高三数学向量(理)人教版知识精讲_第3页
3/5
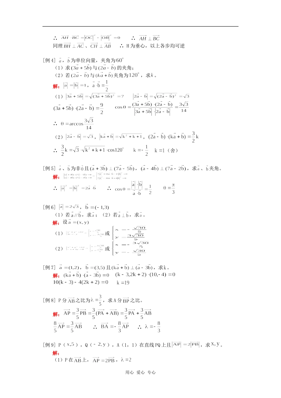
高三数学向量(理)人教版【同步教育信息】一.本周教学内容:向量二.重点、难点:1.、、2.(1)(2)(3)(4)//(5)(6)【典型例题】[例1],,,,若A、B、D三点共线,求。解:A、B、D三点共线存在,使∴∴[例2]四边形ABCD中,,判断四边形ABCD的形状。解:∴若则与四边形ABCD不符∴同理∴∴()∴∴∴同理、、∴矩形ABCD[例3]中,求证:O为外心(1)G为重心(2)H为垂心(3)为垂心解:(1)∴∴A、D、G三点共线且G分之比∴G为重心(2)∴∴同理以上各步均可逆(3)∴用心爱心专心∴∴同理、∴H为垂心,以上各步均可逆[例4],为单位向量,夹角为(1)求与的夹角;(2)若与夹角为,求。解:,(1)∴(2),,∴(舍)[例5]、为非且,,求、夹角。解:∴∴[例6],(1)若,求;(2)若,求。解:设(1)或(2)或[例7],且,求。解:[例8]P分之比为,求A分之比。解:∴∴[例9]P(),Q(),A(1,1)在直线PQ上且,求。解:(1)P在上,,用心爱心专心(2)P在延长线上,,【模拟试题】(答题时间:45分钟)1.已知,,且,则与的夹角为()A.B.C.D.2.已知,,,且与垂直,则等于()A.B.C.D.13.下列命题中正确的是()A.非零向量与的数量积等于与在方向上的投影的乘积B.非零向量在非零向量方向上的投影是一个向量C.力F与其作用下物体产生的位移的数量积就是该力在此过程中所做的功D.或4.已知,,,与的夹角为,则()A.B.C.5D.35.下列各向量中,与垂直的向量是()A.B.C.D.6.若,,则在方向上的投影为()A.B.C.D.7.设、是两个非零向量,则是的()A.充分不必要条件B.必要不充分条件C.充要条件D.既非充分又非必要条件8.已知O为原点,点A、B的坐标分别为(0),(0,),其中常数,点P在线段AB上,且,则的最大值为()A.B.C.D.9.已知,则。10.已知为单位向量,,与的夹角,则在方向上的投影是。11.已知,则与的夹角的余弦值为。12.给出下列命题:①在中,若,则是锐角三角形;②在中,若,则是钝角三角形;③是直角三角形;④是斜三角形的必要不充分条件是。其中,正确命题的序号是。13.给出下列结论:①若,则;②若,则;③;④。其中,正确结论的序号是。用心爱心专心用心爱心专心试题答案1.B2.A3.C4.B5.C6.C7.C8.D9.10.11.12.②④13.④用心爱心专心

1、当您付费下载文档后,您只拥有了使用权限,并不意味着购买了版权,文档只能用于自身使用,不得用于其他商业用途(如 [转卖]进行直接盈利或[编辑后售卖]进行间接盈利)。
2、本站所有内容均由合作方或网友上传,本站不对文档的完整性、权威性及其观点立场正确性做任何保证或承诺!文档内容仅供研究参考,付费前请自行鉴别。
3、如文档内容存在违规,或者侵犯商业秘密、侵犯著作权等,请点击“违规举报”。

碎片内容

高三数学向量(理)人教版知识精讲

您可能关注的文档

慧源书店+ 关注
实名认证
内容提供者

从事历史教学,热爱教育,高度负责。

确认删除?
VIP
微信客服
  • 扫码咨询
会员Q群
  • 会员专属群点击这里加入QQ群
客服邮箱
回到顶部