电脑桌面
添加小米粒文库到电脑桌面
安装后可以在桌面快捷访问

福建省长汀、连城、上杭、武平、永定、漳平六校高一数学年下学期期中联考试题(含解析)-人教版高一全册数学试题VIP免费

福建省长汀、连城、上杭、武平、永定、漳平六校高一数学年下学期期中联考试题(含解析)-人教版高一全册数学试题_第1页
1/11
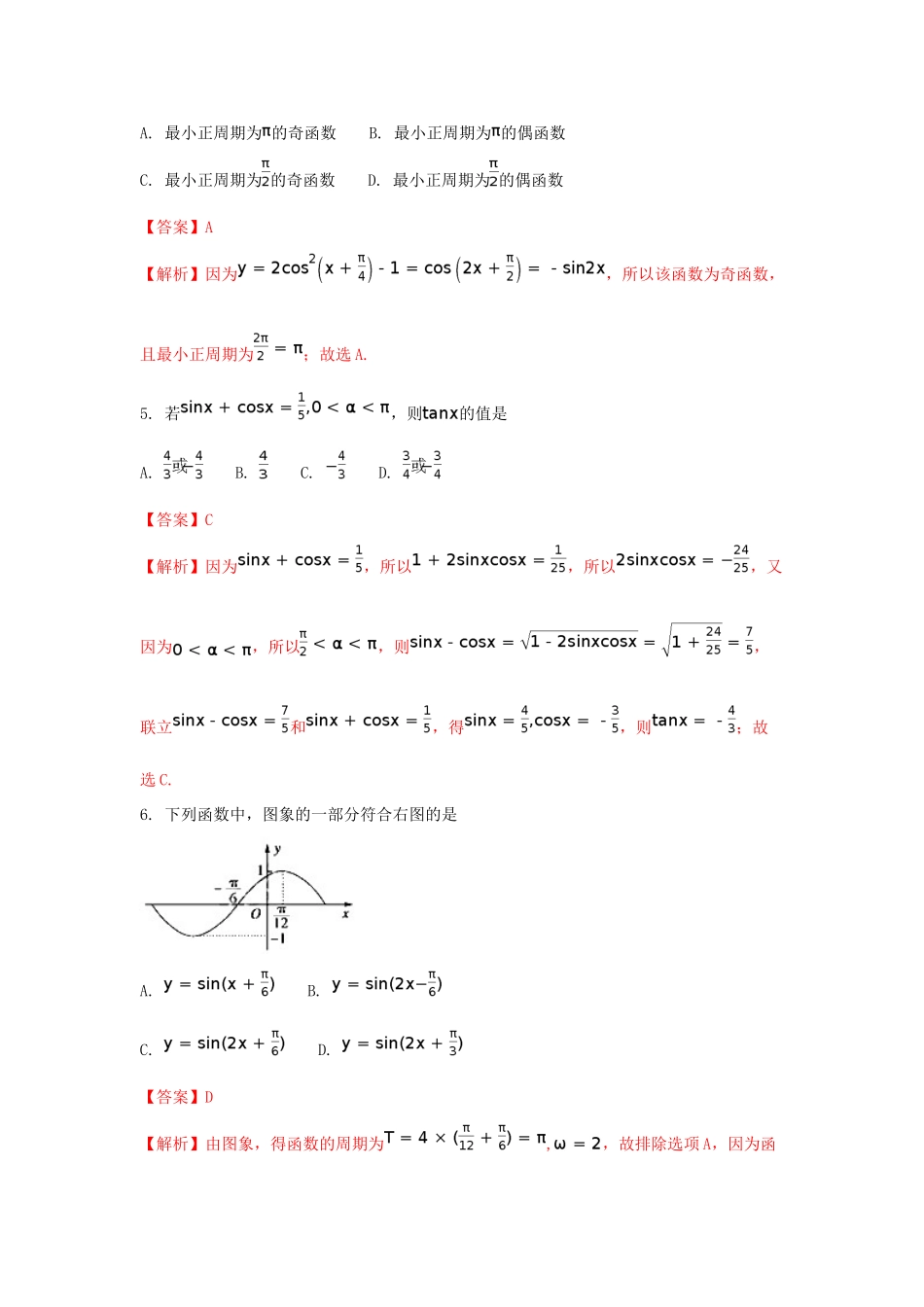
福建省长汀、连城、上杭、武平、永定、漳平六校高一数学年下学期期中联考试题(含解析)-人教版高一全册数学试题_第2页
2/11
福建省长汀、连城、上杭、武平、永定、漳平六校高一数学年下学期期中联考试题(含解析)-人教版高一全册数学试题_第3页
3/11
2016-2017学年第二学期半期考高一数学试题(考试时间:120分钟总分:150分)第I卷(选择题,共60分)一、选择题(本大题共12小题,每小题5分,共60分。在每小题列出的四个选项中,只有一项是符合题目要求的。)1.的值是A.B.C.D.【答案】B【解析】;故选B.2.若向量,则在方向上的投影是A.1B.-1C.D.【答案】B【解析】由题意,得在方向上的投影是;故选B.3.已知角的终边过点,且,则的值为A.B.C.D.【答案】C【解析】因为,所以角的终边在第二,三象限,,从而,即,解得,故选C。4.函数是A.最小正周期为的奇函数B.最小正周期为的偶函数C.最小正周期为的奇函数D.最小正周期为的偶函数【答案】A【解析】因为,所以该函数为奇函数,且最小正周期为;故选A.5.若,则的值是A.B.C.D.【答案】C【解析】因为,所以,所以,又因为,所以,则,联立和,得,则;故选C.6.下列函数中,图象的一部分符合右图的是A.B.C.D.【答案】D【解析】由图象,得函数的周期为,,故排除选项A,因为函数图象过点,则,解得;故选D.7.为了得到函数的图象,只需将函数的图象A.向左平移个长度单位B.向右平移个长度单位C.向左平移个长度单位D.向右平移个长度单位【答案】A【解析】因为,所以为了得到函数的图象,只需将函数的图象向左平移个长度单位;故选A.8.在中,,P是BN上的一点,若,则实数的值为A.B.C.D.【答案】D【解析】因为是上的一点,所以设,则,即,即,又因为,所以,则;故选D.9.已知函数在上有两个零点,则的取值范围是A.[1,2)B.(1,2)C.(1,2]D.[1,2]【答案】A【解析】令,则,因为,所以,则,要使函数在上有两个零点,则由图象,得;故选A.10.若则A.B.C.D.【答案】A【解析】因为,所以,又因为,所以,则;故选A.11.已知函数,其中为实数,若对任意恒成立,且,则的单调递减区间是A.B.C.D.【答案】A...............12.将函数的图象向右平移个单位后得的图象,对满足的任意,,都有,则的值为A.B.C.D.【答案】B第II卷(非选择题,共90分)二、填空题(本大题共4小题,每小题5分,共20分。)13.已知向量,若向量与向量垂直,则实数________.【答案】【解析】由题意,得,,解的.14.若,则_________________.【答案】【解析】15.在中,,若为外接圆的圆心,则的值为__________.【答案】12【解析】取的中点,连接、,则.16.已知关于的方程在区间上有两个不相等的实数根,则__________.【答案】【解析】若关于的方程在区间上有两个不相等的实数根,则关于对称,即.三、解答题(本大题共6小题,共70分。)17.已知向量、是夹角为的单位向量,,,⑴求;⑵当为何值时,与平行?【答案】(1);(2).【解析】试题分析:(1)利用平面向量的模长公式进行求解;(2)利用平面向量共线定理进行求解.试题解析:(1),,.(2)∥,存在实数使不共线18.已知,,,,求的值.【答案】.【解析】试题分析:先利用同角三角函数基本关系式和符号问题求出相关角的三角函数值,再利用诱导公式和两角和差的公式进行求解.试题解析: ∴又∴ ∴又∴19.已知函数.(1)求函数的最小正周期和其图像对称中心的坐标;(2)求函数在上的值域.【答案】(1),;(2).【解析】试题分析:(1)先利用二倍角公式和配角公式化简函数表达式,再利用三角函数的图象和性质进行求解;(2)利用三角函数的图象和性质进行求解.试题解析:(1)函数的最小正周期.令得所以函数的对称中心.(2)所以函数在上的值域是..20.已知是的三个内角,向量,,且.(1)求角;(2)若,求.【答案】(1);(2).【解析】试题分析:(1)先由平面向量的数量积得到三角函数的关系式,再利用配角公式化简函数表达式,再利用三角函数的性质进行求解;(2)利用二倍角公式和诱导公式、两角和的正切公式进行求解.试题解析:(1)由得,即,,,所以.(2)若,得;=21.一半径为4m的水轮(如图),水轮圆心O距离水面2m,已知水轮每分钟转动4圈,如果当水轮上点P从水中浮现时(图中点P0)开始计时.(1)将点P距离水面的高度h(m)表示为时间t(s)的函数;(2)在水轮转动的一圈内,有多长时间点P距水面的高度超过4m.【答案】(1);(2)在水轮转动的一圈内,有5s的时间点P距水面的高度超过4m.【解析】...

1、当您付费下载文档后,您只拥有了使用权限,并不意味着购买了版权,文档只能用于自身使用,不得用于其他商业用途(如 [转卖]进行直接盈利或[编辑后售卖]进行间接盈利)。
2、本站所有内容均由合作方或网友上传,本站不对文档的完整性、权威性及其观点立场正确性做任何保证或承诺!文档内容仅供研究参考,付费前请自行鉴别。
3、如文档内容存在违规,或者侵犯商业秘密、侵犯著作权等,请点击“违规举报”。

碎片内容

福建省长汀、连城、上杭、武平、永定、漳平六校高一数学年下学期期中联考试题(含解析)-人教版高一全册数学试题

您可能关注的文档

慧源书店+ 关注
实名认证
内容提供者

从事历史教学,热爱教育,高度负责。

确认删除?
VIP
微信客服
  • 扫码咨询
会员Q群
  • 会员专属群点击这里加入QQ群
客服邮箱
回到顶部