电脑桌面
添加小米粒文库到电脑桌面
安装后可以在桌面快捷访问

高一数学向量的综合应用人教实验版(A)知识精讲VIP免费

高一数学向量的综合应用人教实验版(A)知识精讲_第1页
1/5
高一数学向量的综合应用人教实验版(A)知识精讲_第2页
2/5
高一数学向量的综合应用人教实验版(A)知识精讲_第3页
3/5
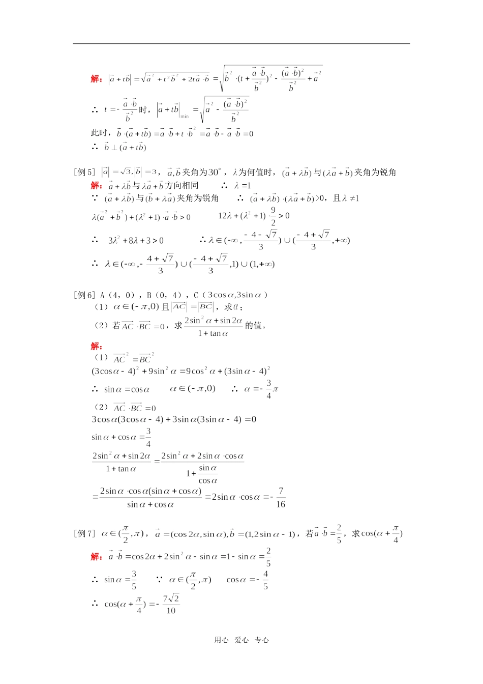
高一数学向量的综合应用人教实验版(A)【本讲教育信息】一.教学内容:向量的综合应用二.重点、难点:1.2.3.同向时,4.反向时,5.6.【典型例题】[例1]四边形ABCD满足,判断ABCD的形状。解:由已知:∴∴同理∴ABCD[例2]四边形ABCD中,,判断四边形ABCD的形状。解:∴若∴与四边形ABCD不符∴∵同理:∴同理∴矩形ABCD[例3]O为内一点,求的最小值。解:令,,∴时,∴O为重心[例4]为非,为何值时,最小,并证明此时用心爱心专心解:∴时,此时,∴[例5],夹角为,为何值时,与夹角为锐角解:与方向相同∴∵与夹角为锐角∴>0,且∴∴∴[例6]A(4,0),B(0,4),C()(1)且,求;(2)若,求的值。解:(1)∴∴(2)[例7],,若,求解:∴∵∴用心爱心专心[例8],,(1)时,求夹角(2),最大值为,求解:(1)(2)①时,②时,∴[例9]已知,求与的夹角。解:∴∴∴∴∴[例10]已知直线与抛物线交于A、B,O为原点,求的取值范围。解:∴∴∴设∴∴【模拟试题】1.,,则夹角为()A.30°B.45°C.75°D.135°2.已知O是平面上一定点,A、B、C是平面上不共线的三个点,动点P满足,,则P点的轨迹一定过的()A.外心B.内心C.重心D.垂心用心爱心专心3.已知为单位向量,它的夹角为,那()A.B.C.D.44.若夹角为,,,则()A.2B.4C.6D.125.为非,满足且,则夹角为()A.B.C.D.6.已知,,若,则与夹角为()A.30°B.60°C.120°D.150°7.在中,,,,则()A.5B.C.D.8.已知,满足对任意,恒有,则()A.B.C.D.9.若,且,则向量与夹角为()A.30°B.60°C.120°D.150°10.已知,,关于的方程有实根,则与的夹角的取值范围()A.B.C.D.用心爱心专心试题答案1.B2.B3.C4.C5.A6.C7.A8.C9.C10.B用心爱心专心

1、当您付费下载文档后,您只拥有了使用权限,并不意味着购买了版权,文档只能用于自身使用,不得用于其他商业用途(如 [转卖]进行直接盈利或[编辑后售卖]进行间接盈利)。
2、本站所有内容均由合作方或网友上传,本站不对文档的完整性、权威性及其观点立场正确性做任何保证或承诺!文档内容仅供研究参考,付费前请自行鉴别。
3、如文档内容存在违规,或者侵犯商业秘密、侵犯著作权等,请点击“违规举报”。

碎片内容

高一数学向量的综合应用人教实验版(A)知识精讲

您可能关注的文档

海博书城+ 关注
实名认证
内容提供者

从事历史教学,热爱教育,高度负责。

相关文档

确认删除?
VIP
微信客服
  • 扫码咨询
会员Q群
  • 会员专属群点击这里加入QQ群
客服邮箱
回到顶部