电脑桌面
添加小米粒文库到电脑桌面
安装后可以在桌面快捷访问

声速测量数据处理与思考题VIP免费

声速测量数据处理与思考题_第1页
1/6
声速测量数据处理与思考题_第2页
2/6
声速测量数据处理与思考题_第3页
3/6
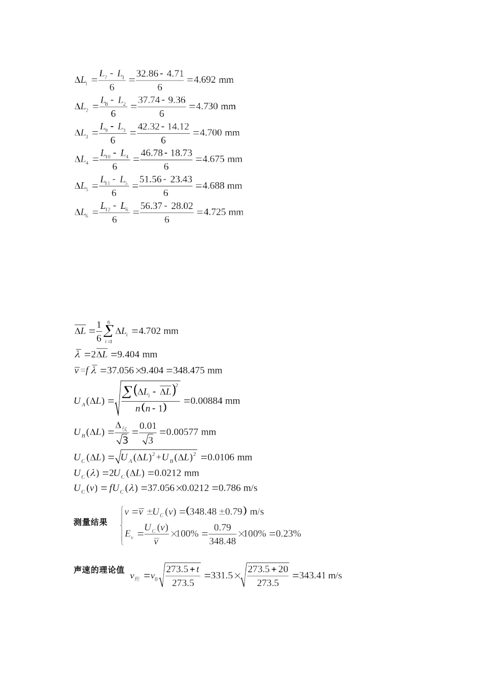
声速测量(1)用共振干涉法和相位比较法测声速有何相同和不同?相同之处:都用连续波测量,均依靠示波器测量共振法:平行传播的声波与反射波产生干涉,形成驻波。改变半个波长的传播路程,驻波的波幅变化一个周期,从而可测得波长,乘以频率,得到声速。相位法:比较接收波相对与发射波的相位差,改变一个波长的传播路径,相位变化360度,从而通过测看相位图,就可测得波长,乘以频率,得到声速。(2)声速测量试验中,定性分析共振法测量时声压振幅极大值随距离变大而减少的原因。这是由于声波在实际介质中传播时,由于扩散、吸收和散射等原因,会随着离开声源的距离增加而自身逐渐减弱。这种减弱与传播距离、声波频率和界面等因素有关。而振幅的大小恰好表示波动能量的大小,所以随着声波的不断向前传播,振幅会逐渐变小。1.传播衰减:点声源、面声源、线声源三种类型不同的声源,辐射出的声波波阵面形状不同,随着传播距离增加其扩散衰减的规律也不相同。2.吸收衰减:分为有空气吸收、绿色植被的吸收、气流和大气温度梯度的吸收。由于种种影响才会造成声波的衰减,在相同环境条件下,人耳可听到的声波范围为20HZ~20000HZ,根据频率越高,在传播过程中更易受空气等等各种的影响的道理,故衰减得比较快。声速测量实验数据处理:要求:(1)用逐差法处理数据,计算超声波的波长;(2)利用不确定度的间接传递,计算超声波传播速度的不确定度,并表示出测量结果;(3)计算测量时声速的理论值,并与测量值比较,得出百分误差。1.共振干涉法测声速实验数据记录T=20℃i123456789101112Li(mm)4.719.3614.1218.7323.4328.0232.8637.7442.3246.7851.5656.37测量结果声速的理论值测量值与理论值的百分误差2.位相比较法测声速实验数据记录T=20℃i123456789101112Li(mm)04.659.3514.1918.8623.4728.1632.7737.5742.2446.9451.49测量结果声速的理论值测量值与理论值的百分误差填空题1.声速测量实验中,采用驻波共振法测量声速时,要使函数信号发生器的输出频率等于换能器的谐振频率,并且在实验过程中保持不变。2.声速测量实验使用的声速测量仪,是利用压电晶体的压电效应,在交变电压的作用下使压电体产生机械振动,从而在空气中激发出超声波。3.声波的传播速度v,声源的振动频率f和声波波长λ之间的关系为v=fλ。声速测量实验测波长常用的方法有共振干涉法和位相比较法。4.声速测量实验中是通过压电晶体的压电效应来发射和接收声波。6.声速测量采用位相比较法测波长时,可通过示波器观察李萨如图形判断相位差。李萨如图形一般是稳定的椭圆。当相位差为0或π时,椭圆变为倾斜的直线。7.声速测量采用共振干涉法测波长时,当接收端面与发射端面之间的距离恰好等于半波长的整数倍时,叠加后的波形成驻波。此时相邻两波节(或波腹)间的距离等于半个波长。简答题1.实验中为什么要在超声换能器谐振状态下测量?答:在谐振状态下超声换能器的纵向伸缩幅度大,发射的声波强;接收换能器接收的声压大,输出的电信号强。这样,可以提高测量的灵敏度,较为准确的确定驻波的波节,有利于准确地测量声波的波长。2.实验中怎样找到超声换能器的谐振频率?答:实验中所使用的超声换能器的谐振频率在30~40kHz之间,可以通过以下两种方法找到换能器的谐振频率。(1)方法一:根据发射换能器的谐振指示灯调节逆时针调节函数信号发生器的“电源开关幅度调节”(AMPLITUDEPOWER)旋钮,调节到约为最大位置的三分之二。在输出频率30~40kHz范围内仔细调节“频率微调”(FINE)旋钮,使声波发射换能器旁边的指示灯点亮。这时,信号发生器的输出频率即为换能器的谐振频率。(2)方法二:根据接收换能器的输出信号调节调节两换能器发射面和接收面之间的距离约为1cm左右,用示波器观察接收换能器的输出信号,在输出频率30~40kHz范围内仔细调节函数信号发生器的“频率微调”(FINE)旋钮,使接收换能器的输出电压信号最大。此时,信号发生器的输出频率等于换能器的谐振频率。3.相位比较法测量声速时,怎样才能在示波器上观察到李萨如图形?选择什么样的李萨如图形进行测量?答:采用相位比较法进行测量时需要...

1、当您付费下载文档后,您只拥有了使用权限,并不意味着购买了版权,文档只能用于自身使用,不得用于其他商业用途(如 [转卖]进行直接盈利或[编辑后售卖]进行间接盈利)。
2、本站所有内容均由合作方或网友上传,本站不对文档的完整性、权威性及其观点立场正确性做任何保证或承诺!文档内容仅供研究参考,付费前请自行鉴别。
3、如文档内容存在违规,或者侵犯商业秘密、侵犯著作权等,请点击“违规举报”。

碎片内容

声速测量数据处理与思考题

您可能关注的文档

确认删除?
VIP
微信客服
  • 扫码咨询
会员Q群
  • 会员专属群点击这里加入QQ群
客服邮箱
回到顶部