电脑桌面
添加小米粒文库到电脑桌面
安装后可以在桌面快捷访问

大学物理(力学部分续)VIP免费

大学物理(力学部分续)_第1页
1/48
大学物理(力学部分续)_第2页
2/48
大学物理(力学部分续)_第3页
3/48
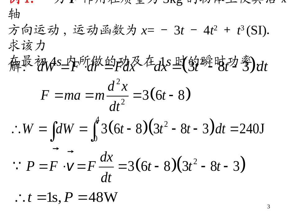
1s1s2一、功cosWFrFr1.恒力的功:2.变力的功:力大小方向变.(力的空间累积)111=cosnnniiiiiiiiiWFrFr22211101limcoscosnrrsiirrsrinWFrFdrFdrFds12,,,nrrr曲线n小段12,,,nFFF分别受力12,,,n夹角分别为111222nnnWFrWFrWFr§4功与能1F2F3F4F12342cosWdWFdrFds变力的功3.功率:力对物体作功的快慢。平均功率:WPt0coslimcostWdWFdsPFFtdtdtvv瞬时功率:示功图dsFcosθss1s2ocosdWFds元功曲线下面积表示功.3例1:一力F作用在质量为3kg的物体上使其沿x轴方向运动,运动函数为x=-3t-4t2+t3(SI).求该力在最初4s内所做的功及在1s时的瞬时功率.dWFdrFdx解:2383dxttdt22368dxFmamtdt420368383240JWdWtttdt2368383dxPFFtttdtv1s,48WtP4例2:一个人从10m深的井中,把重量为10kg的水匀速地提上来.由于水桶漏水,每升高1m,要漏去0.2kg的水.问把水从井水水面提到井口,人要作多少功?0mmky解:变力作功000882J2hkWdWmkygdymhghyyoh010kg,0.2kg/m,10mmkh0dWmgdymkygdy5例3:一单摆,用一水平力P,在准平衡态过程中把摆球从平衡位置拉到摆线与铅直线成θ0的位置,求拉力P的功.已知l,m.000cossinsWdWPdsmgldcossinPmg000(cos)(1cos)mglmglcosdWPdsl0解:mgTPddsld1.任意位置取ds;3.统一变量;4.代入上下限积分.2.按恒力写元功式;求功步骤:6变力曲线运动:tnFFFcosBBBtAAAWFdrFdsFds二、动能定理vFnFtF1v2vAB2222212111222WFrmasmsmmsvvvv恒力直线运动:Fn不作功,Ft作功.2122211122BAdmdsmdmmdtvvvvvvv221vmEkkEW合外力总适用702201122llmgydymmlvv例4:由变力做功重解绳子滑下题.解:当绳子下滑到下垂部分长度为y时,其重力即为绳受的合力,此时若再移动距离dy,则合力在此段所作的功为:yo整个过程合力作功为:mdWgydyl0llmWdWgydyl由动能定理得:220glllv8例5:物体由斜面底部以v0向上冲,然后又下滑回底部,速度为v',已知倾角θ,求物体上冲的高度.v'f2mgNv0f1mgN220sin4hsgvv201(sincos)02mgmgsmv2204sinsgvv单程向上:解:设物体由底部上冲到最高处,斜面的长度为s,按动能定理单程向下:21(sincos)02mgmgsmv9例6:一质量为m的质点,在F=2xyi+3x2j的作用下,由静止开始沿一方程为x2=9y的曲线从点O(0,0)运动到点Q(3,1).求质点运动到Q点时的速度.QQxyOOWFdrFdxFdy解:变力作功由动能定理221122QOWmmvv0Ov6Qmv31230022327189QOxydxxdyxdxydyQxyO10三、保守力作功与势能2121()hhWmgdymghmgh重力:)2121(212221kxkxkxdxWxx弹性力:1.保守力s1s2yox21cosSSWmgdsoxdxxfkx万有引力:02MmfGrr211()barbarMmWGdrGMmrrrdrmgdyh1h2drarbrdrabfrMmdr11作功只与始末位置有关,与路径无关;沿任意闭合回路作功为零,有此性质的力叫保守力,重力、弹力、万有引力、静电场力.没有此性质的力非保守力,摩擦力.2.势能mghEp212pEkx重力势能弹性势能PMmEGr万有引力势能势能具有相对性,势能零点可任选,势能有正负.势能差是绝对的,常用.保守力场才能引进势能,位置的函数,位能.保守力是系统内力,势能为系统共有.0Fdr12思考:弹簧劲度系数为k,上端固定,下端挂物体,当弹簧伸长x0,重物在o处平衡,若取o...

1、当您付费下载文档后,您只拥有了使用权限,并不意味着购买了版权,文档只能用于自身使用,不得用于其他商业用途(如 [转卖]进行直接盈利或[编辑后售卖]进行间接盈利)。
2、本站所有内容均由合作方或网友上传,本站不对文档的完整性、权威性及其观点立场正确性做任何保证或承诺!文档内容仅供研究参考,付费前请自行鉴别。
3、如文档内容存在违规,或者侵犯商业秘密、侵犯著作权等,请点击“违规举报”。

碎片内容

大学物理(力学部分续)

您可能关注的文档

墨香书阁+ 关注
实名认证
内容提供者

热爱教学事业,对互联网知识分享很感兴趣

确认删除?
VIP
微信客服
  • 扫码咨询
会员Q群
  • 会员专属群点击这里加入QQ群
客服邮箱
回到顶部