电脑桌面
添加小米粒文库到电脑桌面
安装后可以在桌面快捷访问

一校五题(通州中学提供)VIP免费

一校五题(通州中学提供)_第1页
1/4
一校五题(通州中学提供)_第2页
2/4
一校五题(通州中学提供)_第3页
3/4
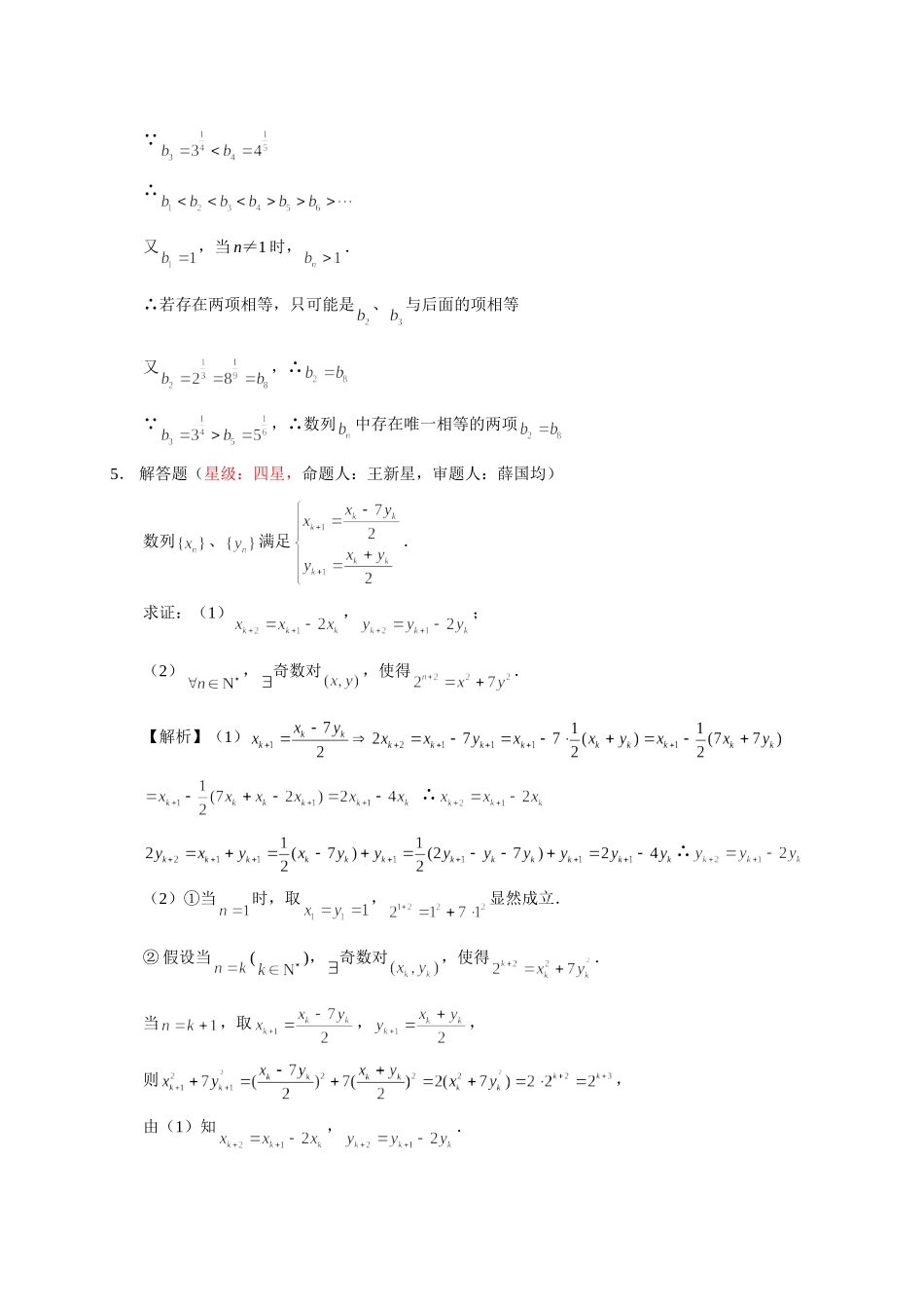
一校五题(通州中学提供)1.填空题(星级:三星,命题人:王新星)若函数,则.【解析】.由倒序相加法,得.2.填空题(星级:四星,命题人:曹兵)根据程序设定,机器人在平面上能完成下列动作:从原点O出发,以匀速v(m/s)沿东偏北α(α为(0,)内的变量)方向或正北方向行走,且方向改变的时间不定.记机器人行走t(s)时的可能落点P的区域为Ω,则Ω的面积与(vt)2的比值为.【解析】如图,作以O为圆心,vt长为半径的四分之一圆,则Ω的区域为弧AB和弦AB围成的弓形区域(除去开线段AB及点B).下证P落在弓形内,过P作OB的垂线,与弧AB、弦AB、OB交于D、C、E,作OQ使,交DC于Q.对于某个α的任何运动的轨迹相当于从O到Q,再从Q到P.当P在C的下方时(包括和C重合),OQ+QPOD=vt综上,P落在弓形内(除去开线段AB及点B),其面积为,则Ω的面积与(vt)2的比值为.3.填空题(星级:四星,命题人:王新星)已知三次函数在R上单调递增,则的最小值为.【解析】由题意≥0在R上恒成立,则,△≤0.第2题OQBACDPE∴≥令,≥≥3.(当且仅当,即时取“=”)4.解答题(星级:五星,命题人:王新星,审题人:薛国均)若正数数列满足,其中是数列的前n项和.(1)求.(2)若,是否存在?若存在,求出所有相等的两项;若不存在,说明理由.【解析】(1)令,又,得.∵,即,∴,∴为等差数列,∴,∴.(2),则考虑函数(x≥1),则.令(x≥1),则≤0,∴在递减∵,,,∴x≥4时,≤,则,在递减;1≤x≤3时,≥,则,在递增.∴,即,∴,∵∴又,当n≠1时,.∴若存在两项相等,只可能是、与后面的项相等又,∴∵,∴数列中存在唯一相等的两项5.解答题(星级:四星,命题人:王新星,审题人:薛国均)数列、满足.求证:(1),;(2),奇数对,使得.【解析】(1)∴∴(2)①当时,取,显然成立.②假设当(),奇数对,使得.当,取,,则,由(1)知,.又∵,,均为奇数,可知、均为奇数.综合①②可知,奇数对,使得.【说明】第1题由2010年山东省初赛试卷第13题改编;第2题系原创;第3题由2010年河北省初赛试卷第11题改编,第4题系原创;第5题系《中等数学》2011第1期数学奥林匹克高中训练题(137)加试第三题改编.

1、当您付费下载文档后,您只拥有了使用权限,并不意味着购买了版权,文档只能用于自身使用,不得用于其他商业用途(如 [转卖]进行直接盈利或[编辑后售卖]进行间接盈利)。
2、本站所有内容均由合作方或网友上传,本站不对文档的完整性、权威性及其观点立场正确性做任何保证或承诺!文档内容仅供研究参考,付费前请自行鉴别。
3、如文档内容存在违规,或者侵犯商业秘密、侵犯著作权等,请点击“违规举报”。

碎片内容

一校五题(通州中学提供)

确认删除?
VIP
微信客服
  • 扫码咨询
会员Q群
  • 会员专属群点击这里加入QQ群
客服邮箱
回到顶部