电脑桌面
添加小米粒文库到电脑桌面
安装后可以在桌面快捷访问

高碑店三中高三数学12月联考试题 理-人教版高三数学试题VIP免费

高碑店三中高三数学12月联考试题 理-人教版高三数学试题_第1页
1/17
高碑店三中高三数学12月联考试题 理-人教版高三数学试题_第2页
2/17
高碑店三中高三数学12月联考试题 理-人教版高三数学试题_第3页
3/17
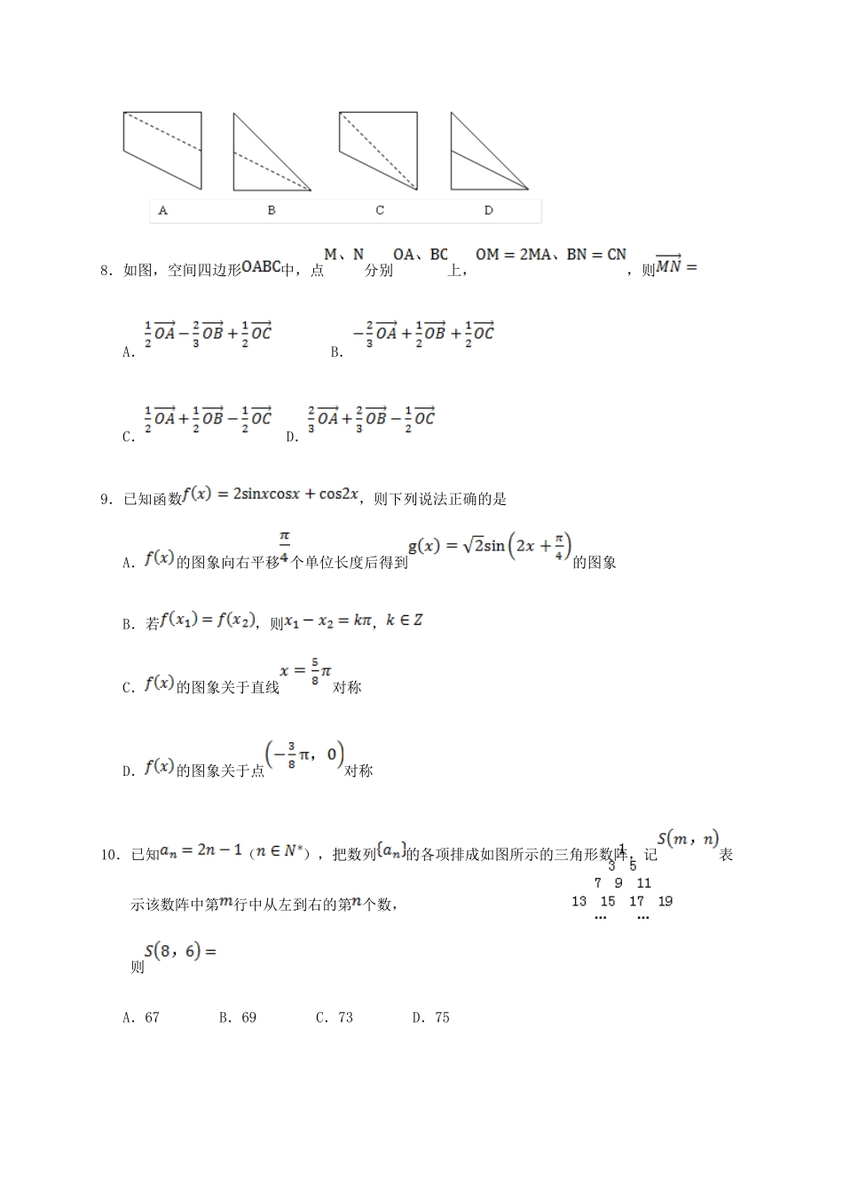
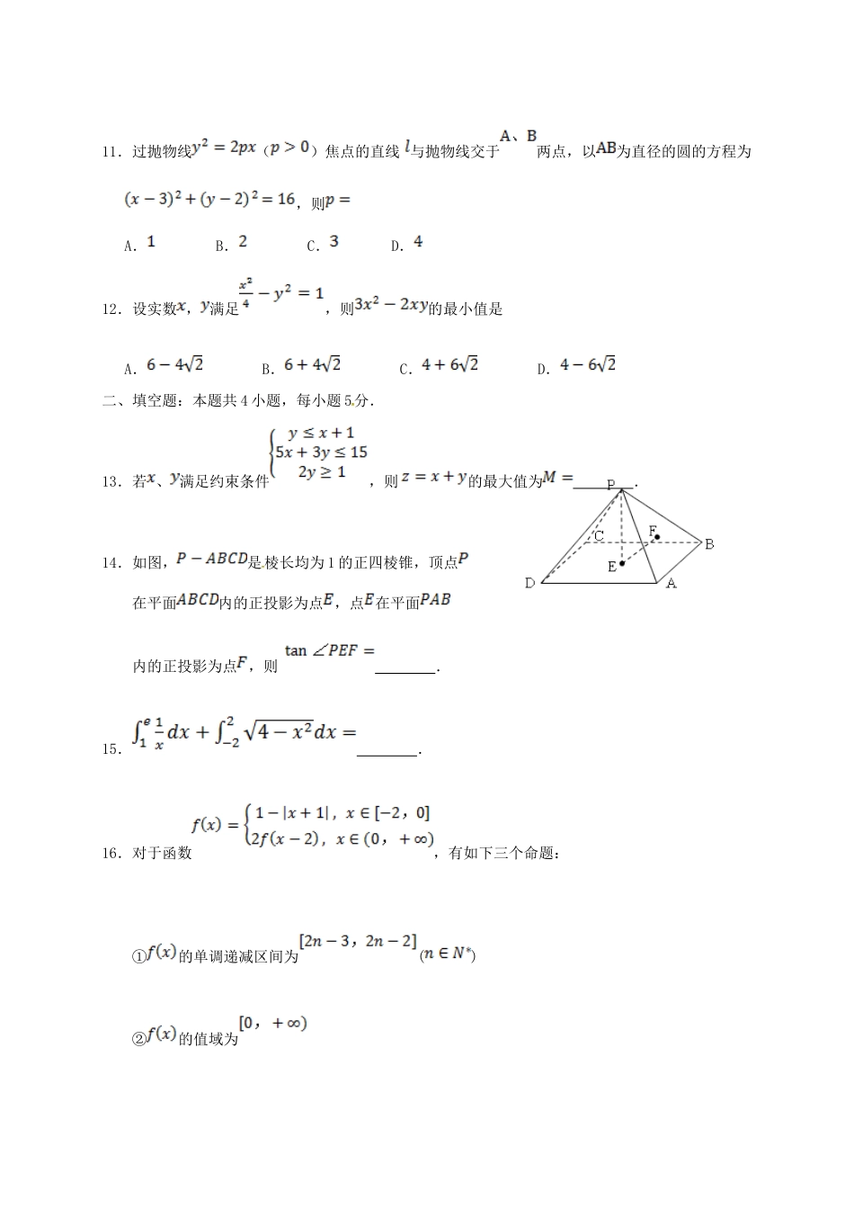
河北省涞水波峰中学、高碑店三中届高三数学12月联考试题理一、选择题(本大题共12小题,每小题5分,共60分,在每小题给出的四个选项中,只有一项是符合题目要求的.)1.是虚数单位,若,则A.1B.C.D.2.已知集合,,则A.B.C.D.3.在中,是边的中点,,,则A.B.C.D.4.若等差数列满足,则的前项之和A.1506B.1508C.1510D.15125.若,,,则A.B.C.D.6“.在平面直角坐标系中,直线与直线”“平行是”的A.充分非必要条件B.必要非充分条件C.充要条件D.非充分非必要条件7.如图,正方体ABCD-A1B1C1D1中,E为棱BB1的中点,用过点A、E、C1的平面截去该正方体的下半部分,则剩余几何体的正视图(也称主视图)是ABCDABCD1111E8.如图,空间四边形中,点分别上,,则A.B.C.D.9.已知函数,则下列说法正确的是A.的图象向右平移个单位长度后得到的图象B.若,则,C.的图象关于直线对称D.的图象关于点对称10.已知(),把数列的各项排成如图所示的三角形数阵,记表示该数阵中第行中从左到右的第个数,则A.67B.69C.73D.7511.过抛物线()焦点的直线与抛物线交于两点,以为直径的圆的方程为,则A.B.C.D.12.设实数,满足,则的最小值是A.B.C.D.二、填空题:本题共4小题,每小题5分.13.若、满足约束条件,则的最大值为.14.如图,是棱长均为1的正四棱锥,顶点在平面内的正投影为点,点在平面内的正投影为点,则.15..16.对于函数,有如下三个命题:①的单调递减区间为()②的值域为③若,则方程在区间内有3个不相等的实根其中,真命题是.(将真命题的序号填写在横线上)三.解答题:本题共小题.解答应写出文字说明、证明过程或演算步骤.17.(本小题满分分)中,角的对边分别为,已知.(Ⅰ)求角的大小;(Ⅱ)点为边上的一点,记,若,,,求与的值。18.(本小题满分分)已知两数列,满足(),,其中是公差大于零的等差数列,且,,成等比数列.(Ⅰ)求数列的通项公式;(Ⅱ)求数列的前项和.19.(本小题满分12分)如图所示,在四棱锥中,底面四边形为等腰梯形,为中点,平面,.(1)证明:平面平面;(2)若直线与平面所成的角为30°,求二面角的余弦值.20.(本小题满分12分)小李参加一种红包接龙游戏:他在红包里塞了12元,然后发给朋友,如果猜中,将获得红包里的所有金额;如果未猜中,将当前的红包转发给朋友,如果猜中,平分红包里的金额;如果未猜中,将当前的红包转发给朋友,如果猜中,和平分红包里的金额;如果未猜中,红包里的钱将退回小李的账户,设猜中的概率分别为,且是否猜中互不影响.(1)求恰好获得4元的概率;(2)设获得的金额为元,求的分布列;(3)设获得的金额为元,获得的金额为元,判断所获得的金额的期望能否超过的期望与的期望之和.21、(本小题满分12分)给定椭圆C:=1(a>b>0),称圆x2+y2=a2+b2为椭圆C“”的伴随圆,已知椭圆C的短轴长为2,离心率为.(Ⅰ)求椭圆C的方程;(Ⅱ)若直线l与椭圆C交于A,B“”两点,与其伴随圆交于C,D两点,当|CD|=时,求△AOB面积的最大值.22.(本小题满分12分)设函数.(1)当时,求的极值;(2)当时,证明:在上恒成立.波峰中学-学年度第一学期期末模拟卷参考答案一、选择题CDDDBBABCABB二、填空题13.4;14.;15.;16.①②(仅填①、仅填②、填①②③给2分,其它错误结果给0分)17.(Ⅰ)由已知,得,,,,.………………...4分(Ⅱ)在中,,,..…………...8分为钝角,为锐角,,在中,由余弦定理,得,所以.…………...12分18.(Ⅰ)设的公差为(),,,.又,,,由,,成等比数列,得,,,,.………………...6分(Ⅱ)因为,所以,于是,,令①则②①②,得,,故.………………...12分19.解:(1)因为平面平面,所以,...............1分又因为,所以平面,........................................3分而平面,所以平面平面...................4分(2)设和相交于点,连接,由(1)知,平面,所以是直线与平面所成的角,从而,在中,由,得,因为四边形为等腰梯形,,所以均为等腰直角三角...

1、当您付费下载文档后,您只拥有了使用权限,并不意味着购买了版权,文档只能用于自身使用,不得用于其他商业用途(如 [转卖]进行直接盈利或[编辑后售卖]进行间接盈利)。
2、本站所有内容均由合作方或网友上传,本站不对文档的完整性、权威性及其观点立场正确性做任何保证或承诺!文档内容仅供研究参考,付费前请自行鉴别。
3、如文档内容存在违规,或者侵犯商业秘密、侵犯著作权等,请点击“违规举报”。

碎片内容

高碑店三中高三数学12月联考试题 理-人教版高三数学试题

文章天下+ 关注
实名认证
内容提供者

各种文档应有尽有

相关文档

确认删除?
VIP
微信客服
  • 扫码咨询
会员Q群
  • 会员专属群点击这里加入QQ群
客服邮箱
回到顶部