电脑桌面
添加小米粒文库到电脑桌面
安装后可以在桌面快捷访问

高二数学:7.2《等差数列前n项和》教案(2)沪教版VIP免费

高二数学:7.2《等差数列前n项和》教案(2)沪教版_第1页
1/3
高二数学:7.2《等差数列前n项和》教案(2)沪教版_第2页
2/3
高二数学:7.2《等差数列前n项和》教案(2)沪教版_第3页
3/3
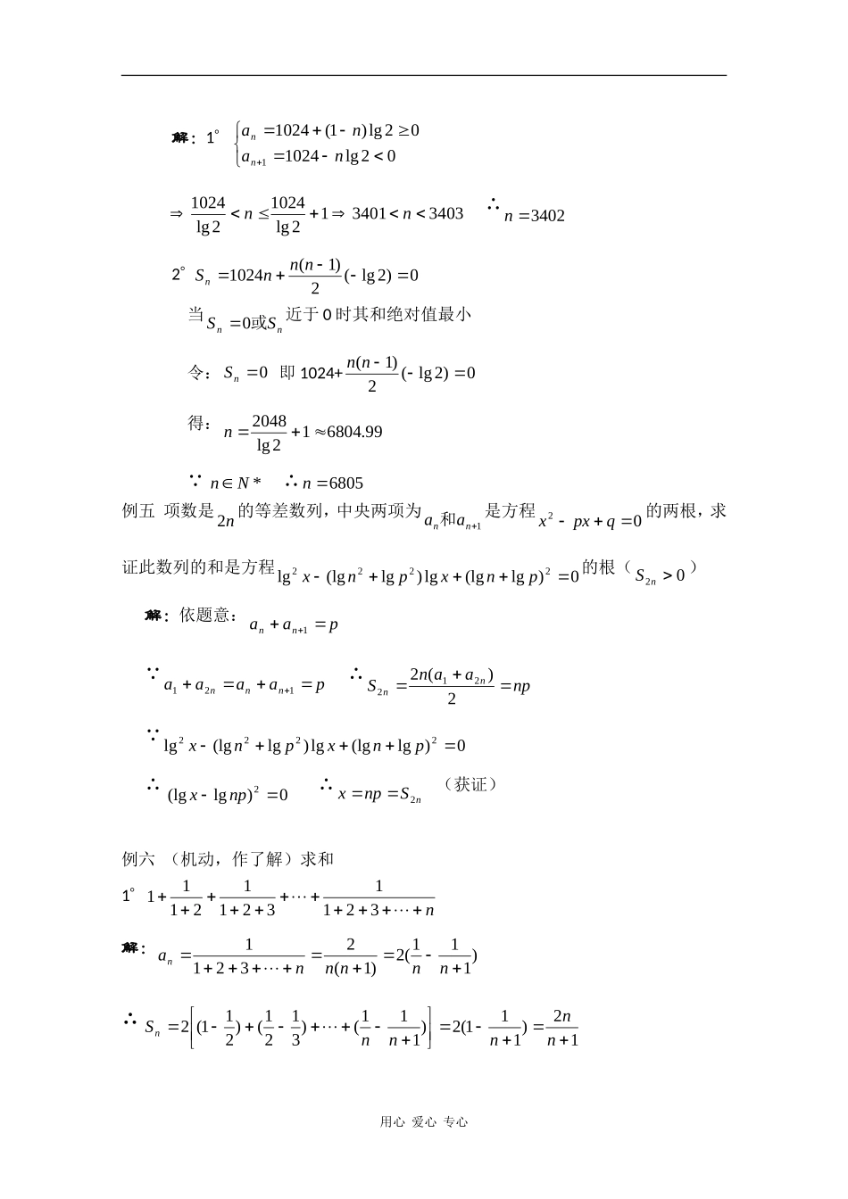
等差数列前n项和(二)教材:等差数列前n项和(二)目的:使学生会运用等差数列前n项和的公式解决有关问题,从而提高学生分析问题、解决问题的能力。过程:一、复习:等差数列前n项和的公式二、例一在等差数列na中1已知488S16812S求1a和d;解:16866124828811dada81a4d2已知4053aa,求17S.解:∵40153171aaaa∴340240172)(1717117aaS例二已知na,nb都成等差数列,且51a,151b,100100100ba试求数列nnba的前100项之和100S.解:60002)100155(1002)(10010010011100baaaS例三一个等差数列的前12项之和为354,前12项中偶数项与奇数项之比为32:27,求公差。解一:设首项为1a,公差为d则1732225662256)(63542111212111daddada5d解二:2732354奇偶偶奇SSSS162192奇偶SS由dSS6奇偶5d例四.已知:nna12lg1024(3010.02lg)*Nn问多少项之和为最大?前多少项之和的绝对值最小?用心爱心专心解:102lg102402lg)1(10241nanann3403340112lg10242lg1024nn∴3402n20)2lg(2)1(1024nnnSn当nnSS或0近于0时其和绝对值最小令:0nS即1024+0)2lg(2)1(nn得:99.680412lg2048n∵*Nn∴6805n例五项数是n2的等差数列,中央两项为1nnaa和是方程02qpxx的两根,求证此数列的和是方程0)lg(lglg)lg(lglg2222pnxpnx的根(02nS)解:依题意:paann1∵paaaannn121∴npaanSnn2)(2212∵0)lg(lglg)lg(lglg2222pnxpnx∴0)lg(lg2npx∴nSnpx2(获证)例六(机动,作了解)求和1n321132112111解:)111(2)1(23211nnnnnan∴12)111(2)111()3121()211(2nnnnnSn用心爱心专心2)12()34()9798()99100(22222222解:原式=505050101502)3199(37195199三、作业用心爱心专心

1、当您付费下载文档后,您只拥有了使用权限,并不意味着购买了版权,文档只能用于自身使用,不得用于其他商业用途(如 [转卖]进行直接盈利或[编辑后售卖]进行间接盈利)。
2、本站所有内容均由合作方或网友上传,本站不对文档的完整性、权威性及其观点立场正确性做任何保证或承诺!文档内容仅供研究参考,付费前请自行鉴别。
3、如文档内容存在违规,或者侵犯商业秘密、侵犯著作权等,请点击“违规举报”。

碎片内容

高二数学:7.2《等差数列前n项和》教案(2)沪教版

您可能关注的文档

雨丝书吧+ 关注
实名认证
内容提供者

乐于和他人分享知识,从事历史教学,热爱教育,高度负责。

确认删除?
VIP
微信客服
  • 扫码咨询
会员Q群
  • 会员专属群点击这里加入QQ群
客服邮箱
回到顶部