电脑桌面
添加小米粒文库到电脑桌面
安装后可以在桌面快捷访问

高二数学下6.3 不等式的证明4教案VIP免费

高二数学下6.3  不等式的证明4教案_第1页
1/4
高二数学下6.3  不等式的证明4教案_第2页
2/4
高二数学下6.3  不等式的证明4教案_第3页
3/4
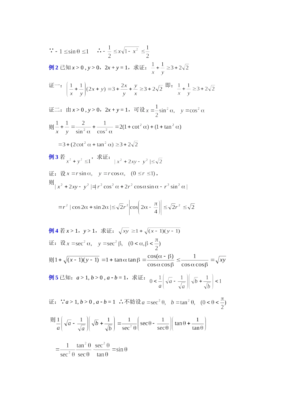
课题:不等式的证明(4)教学目的:1.掌握换元法法证明不等式;2.理解换元法实质;3.提高证明不等式证法灵活性奎屯王新敞新疆教学重点:三角换元和代数换元教学难点:三角换元授课类型:新授课课时安排:1课时教具:多媒体、实物投影仪教学过程:一、复习引入:1.重要不等式:如果2.定理:如果a,b是正数,那么3奎屯王新敞新疆公式的等价变形:ab≤,ab≤()2奎屯王新敞新疆4.≥2(ab>0),当且仅当a=b时取“=”号;5.定理:如果,那么(当且仅当时取“=”)6.推论:如果,那么(当且仅当时取“=”)7.比较法之一(作差法)步骤:作差——变形——判断与0的关系——结论比较法之二(作商法)步骤:作商——变形——判断与1的关系——结论8.综合法:利用某些已经证明过的不等式(例如算术平均数与几何平均数定理)和不等式的性质推导出所要证明的不等式成立,这种证明方法叫做综合法奎屯王新敞新疆用综合法证明不等式的逻辑关系是:综合法的思维特点是:由因导果,即由已知条件出发,利用已知的数学定理、性质和公式,推出结论的一种证明方法奎屯王新敞新疆9奎屯王新敞新疆分析法:证明不等式时,有时可以从求证的不等式出发,分析使这个不等式成立的条件,把证明不等式转化为判定这些条件是否具备的问题,如果能够肯定这些条件都已具备,那么就可以断定原不等式成立,这种方法叫做分析法奎屯王新敞新疆用分析法证明不等式的逻辑关系是:分析法的思维特点是:执果索因奎屯王新敞新疆分析法的书写格式:要证明命题B为真,只需要证明命题为真,从而有……这只需要证明命题为真,从而又有…………这只需要证明命题A为真奎屯王新敞新疆而已知A为真,故命题B必为真奎屯王新敞新疆二、讲解新课:1奎屯王新敞新疆三角换元:若0≤x≤1,则可令x=sin()或x=sin2()奎屯王新敞新疆若,则可令x=cos,y=sin()奎屯王新敞新疆若,则可令x=sec,y=tan()奎屯王新敞新疆若x≥1,则可令x=sec()奎屯王新敞新疆若xR,则可令x=tan()奎屯王新敞新疆2奎屯王新敞新疆代数换元:“整体换元”,“均值换元”,“设差换元”的方法奎屯王新敞新疆三、讲解范例:例1求证:证一:(综合法)∵即∴证二:(换元法)∵∴令x=cos,[0,]则∵∴例2已知x>0,y>0,2x+y=1,求证:证一:即:证二:由x>0,y>0,2x+y=1,可设则例3若,求证:证:设,则例4若x>1,y>1,求证:证:设则例5已知:a>1,b>0,ab=1,求证:证:∵a>1,b>0,ab=1∴不妨设则∵,∴00,则证:设则(当a=1时取“=”)∴即∴原式成立四、课堂练习:五、小结:六、课后作业:七、板书设计(略)八、课后记:

1、当您付费下载文档后,您只拥有了使用权限,并不意味着购买了版权,文档只能用于自身使用,不得用于其他商业用途(如 [转卖]进行直接盈利或[编辑后售卖]进行间接盈利)。
2、本站所有内容均由合作方或网友上传,本站不对文档的完整性、权威性及其观点立场正确性做任何保证或承诺!文档内容仅供研究参考,付费前请自行鉴别。
3、如文档内容存在违规,或者侵犯商业秘密、侵犯著作权等,请点击“违规举报”。

碎片内容

高二数学下6.3 不等式的证明4教案

您可能关注的文档

确认删除?
VIP
微信客服
  • 扫码咨询
会员Q群
  • 会员专属群点击这里加入QQ群
客服邮箱
回到顶部