电脑桌面
添加小米粒文库到电脑桌面
安装后可以在桌面快捷访问

高一数学教案:三角函数小结与复习(2)VIP免费

高一数学教案:三角函数小结与复习(2)_第1页
1/6
高一数学教案:三角函数小结与复习(2)_第2页
2/6
高一数学教案:三角函数小结与复习(2)_第3页
3/6
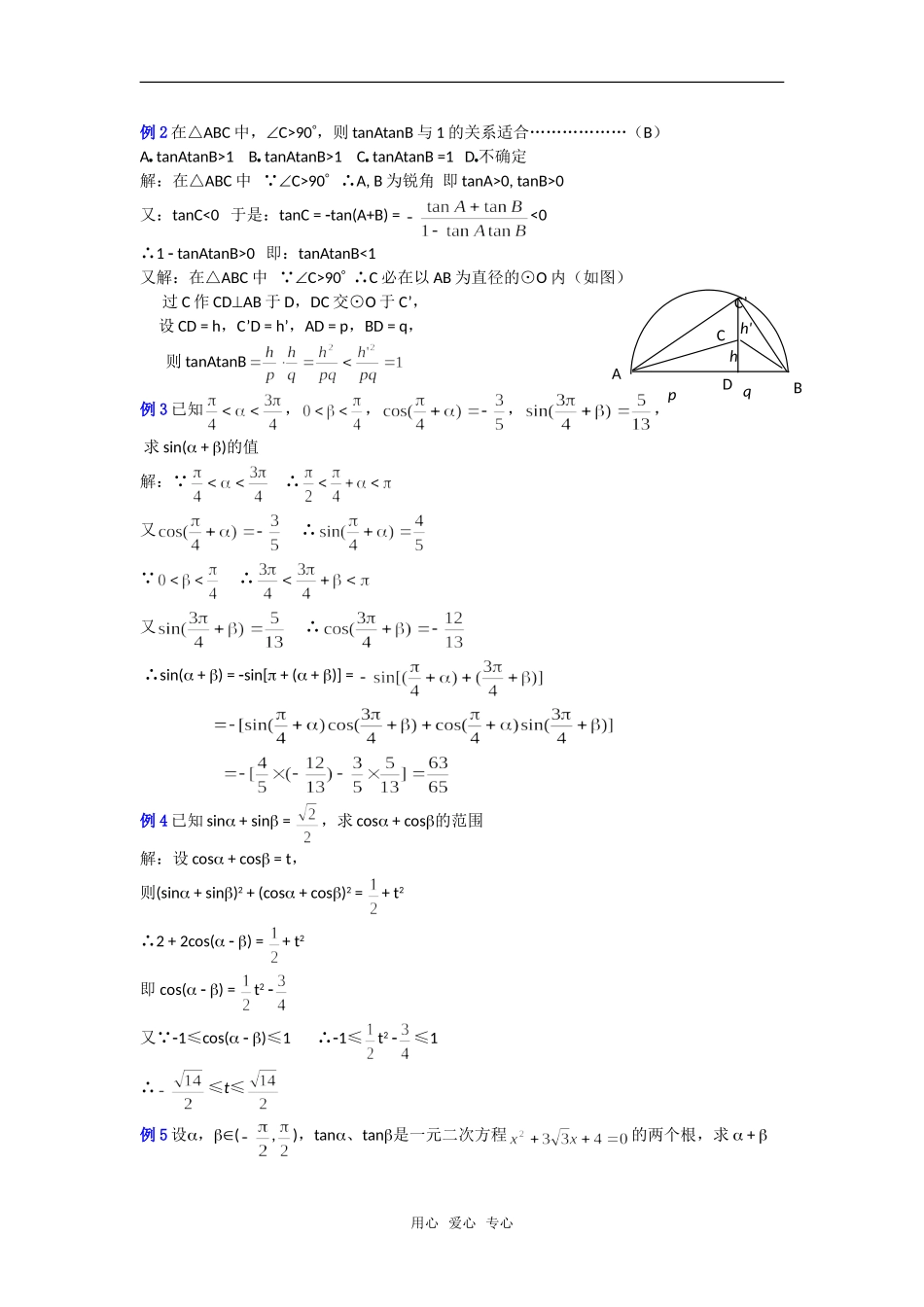
课题:小结与复习(2)知识目标:1奎屯王新敞新疆任意角的三角函数、任意角的概念、弧度制、任意角的三角函数的概念、同角三角函数间的关系、诱导公式;2奎屯王新敞新疆两角和与差的三角函数、二倍角的三角函数;3奎屯王新敞新疆三角函数的图象和性质、已知三角函数值求角奎屯王新敞新疆教学目的:1奎屯王新敞新疆理解任意角的概念、弧度的意义;能正确地进行弧度与角度的换算;2奎屯王新敞新疆掌握任意角的正弦、余弦、正切的定义,并会利用与单位圆有关的三角函数线表示正弦、余弦和正切;了解任意角的余切、正割、余割的定义;掌握同角三角函数的基本关系式;掌握正弦、余弦的诱导公式;3奎屯王新敞新疆掌握两角和与两角差的正弦、余弦、正切公式;掌握二倍角的正弦、余弦、正切公式;4奎屯王新敞新疆能正确运用三角公式,进行三角函数式的化简、求值及恒等式证明;5奎屯王新敞新疆会用与单位圆有关的三角函数线画出正弦函数、正切函数的图象,并在此基础上由诱导公式画出余弦函数的图象;理解周期函数与最小正周期的意义;并通过它们的图象理解正弦函数、余弦函数、正切函数的性质;会用“五点法”画正弦函数、余弦函数和函数y=Asin(ωx+)的简图,理解A、ω、的物理意义;6奎屯王新敞新疆会用已知三角函数值求角,并会用符号arcsinx、arccosx、arctanx表示奎屯王新敞新疆教学重点:三角函数的知识网络结构及各部分知识奎屯王新敞新疆教学难点:熟练掌握各部分知识,并能灵活应用其解决相关问题德育目标:1奎屯王新敞新疆渗透“变换”思想、“化归”思想;2奎屯王新敞新疆培养逻辑推理能力;3奎屯王新敞新疆培养学生探求精神奎屯王新敞新疆教学方法:讲练结合法通过讲解强化训练题目,加深对三角函数知识的理解,提高对三角函数知识的应用能力奎屯王新敞新疆授课类型:复习课课时安排:1课时教具:多媒体、实物投影仪教学过程:一、讲解范例:例1在△ABC中,已知cosA=,sinB=,则cosC的值为…………(A)A奎屯王新敞新疆B奎屯王新敞新疆C奎屯王新敞新疆D奎屯王新敞新疆解: C=(A+B)∴cosC=cos(A+B)又 A(0,)∴sinA=而sinB=显然sinA>sinB∴A>B即B必为锐角∴cosB=∴cosC=cos(A+B)=sinAsinBcosAcosB=用心爱心专心例2在△ABC中,C>90,则tanAtanB与1的关系适合………………(B)A奎屯王新敞新疆tanAtanB>1B奎屯王新敞新疆tanAtanB>1C奎屯王新敞新疆tanAtanB=1D奎屯王新敞新疆不确定解:在△ABC中 C>90∴A,B为锐角即tanA>0,tanB>0又:tanC<0于是:tanC=tan(A+B)=<0∴1tanAtanB>0即:tanAtanB<1又解:在△ABC中 C>90∴C必在以AB为直径的⊙O内(如图)过C作CDAB于D,DC交⊙O于C’,设CD=h,C’D=h’,AD=p,BD=q,则tanAtanB例3已知,,,,求sin(+)的值解: ∴又∴ ∴又∴∴sin(+)=sin[+(+)]=例4已知sin+sin=,求cos+cos的范围解:设cos+cos=t,则(sin+sin)2+(cos+cos)2=+t2∴2+2cos()=+t2即cos()=t2又 1≤cos()≤1∴1≤t2≤1∴≤t≤例5设,(,),tan、tan是一元二次方程的两个根,求+用心爱心专心BC’ACDhh'pq解:由韦达定理:∴又由,(,)且tan,tan<0( tan+tan<0,tantan>0)得+(,0)∴+=例6已知sin()cos(+)=(0<<),求sin(+)+cos(2)的值解: sin()cos(+)=即:sin+cos=①又 0<<1,0<<∴sin>0,cos<0令a=sin(+)+cos(2)=sin+cos则a<0由①得:2sincos=例7已知2sin()cos(+)=1(0<<),求cos(2)+sin(+)的值解:将已知条件化简得:2sin+cos=1①设cos(2)+sin(+)=a,则a=cossin②①②联立得: sin2+cos2=1∴∴5a2+2a7=0,解之得:a1=,a2=1(舍去)(否则sin=0,与0<<不符)∴cos(2)+sin(+)=二、小结三、课后作业:1.求证:=32cos20°奎屯王新敞新疆分析:本题证明方向显然是从左边证到右边奎屯王新敞新疆同时,注意到角与函数次数的变化,运用降幂公式sin2α=可使等式中的角与函数的次数得到统...

1、当您付费下载文档后,您只拥有了使用权限,并不意味着购买了版权,文档只能用于自身使用,不得用于其他商业用途(如 [转卖]进行直接盈利或[编辑后售卖]进行间接盈利)。
2、本站所有内容均由合作方或网友上传,本站不对文档的完整性、权威性及其观点立场正确性做任何保证或承诺!文档内容仅供研究参考,付费前请自行鉴别。
3、如文档内容存在违规,或者侵犯商业秘密、侵犯著作权等,请点击“违规举报”。

碎片内容

高一数学教案:三角函数小结与复习(2)

您可能关注的文档

确认删除?
VIP
微信客服
  • 扫码咨询
会员Q群
  • 会员专属群点击这里加入QQ群
客服邮箱
回到顶部