


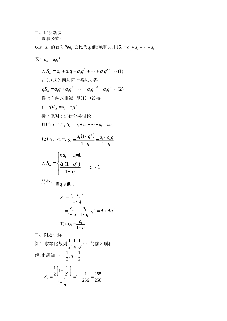
1,1a<0,或00时,{na}是递减数列;当q=1时,{na}是常数列;当q<0时,{na}是摆动数列;二、讲授新课一:求和公式:1.,,.nnGPaaqnS的首项为公比为前项和12naaan则S11nnaaq又211111(1)nnSaaqaqaq在(1)式的两边同时乘以q得:211111(2)nnnqSaqaqaqaq将上面两式相减,即(1)-(2)得:11(1)nnqSaaq接下来对q进行分类讨论11,q当时1111nSaaana21,q当时11111nnnaqaaqSqq1(1)1nnnaSqq1q=1aq1另外:1q当时,111111111nnnnaaqSqaaqAAqqqaAq=其中三、例题讲解:例1:求等比数列111,,,248的前8项和.111::,22aq解由题知881111255221125625612S例2:已知等比数列na中,23nnSa,求首项1a。nS解:是等比数列得前n项和.2a232nnS112324aS35233::2222n例求和解:此式为首项为2,公比为4的等比数列的前n+2项的和.222214241143nnnS23242:224221143nnnS或者课堂练习:21:1nqqq求和提示:对q进行分类讨论:(1)0,1;(2)1,;101,;1nqSqSnqqqSq解当时当时(3)当且时综上:1,11,11nqSqSqq或四、课后小结:本节课重点掌握等比数列的前n项和公式:111(1)11nnnaqaaqSqqq及推导方法:错位相减法作业:习题3.51,3,6,7
1、当您付费下载文档后,您只拥有了使用权限,并不意味着购买了版权,文档只能用于自身使用,不得用于其他商业用途(如 [转卖]进行直接盈利或[编辑后售卖]进行间接盈利)。
2、本站所有内容均由合作方或网友上传,本站不对文档的完整性、权威性及其观点立场正确性做任何保证或承诺!文档内容仅供研究参考,付费前请自行鉴别。
3、如文档内容存在违规,或者侵犯商业秘密、侵犯著作权等,请点击“违规举报”。
碎片内容