电脑桌面
添加小米粒文库到电脑桌面
安装后可以在桌面快捷访问

高中数学教学 单元复习之二——续单元复习之一教案人教版必修1AVIP免费

高中数学教学 单元复习之二——续单元复习之一教案人教版必修1A_第1页
1/3
高中数学教学 单元复习之二——续单元复习之一教案人教版必修1A_第2页
2/3
高中数学教学 单元复习之二——续单元复习之一教案人教版必修1A_第3页
3/3
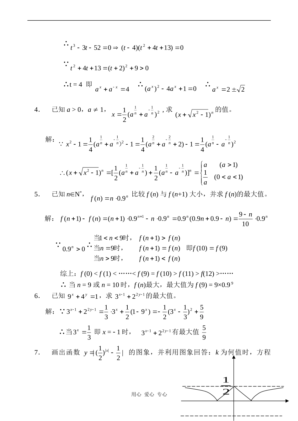
第三十一教时教材:单元复习之二——续单元复习之一目的:通处理一些未了的例题(《教学与测试》备用题),加深学生对概念的理解过程:1.某产品的总成本y万元与产量x台之间的函数关系式是21.0203000xxyx(0,240),若每台产品的售价为25万元,则生产者不亏本的最低产量为多少?解:21.020300025xxx即:03000502xx∴x≥150(x≤120舍去)即:最低产量为150台2.已知函数3222)(abxaaxxf1当x(2,6)时,其值为正;x),6()2,(时,其值为负,求a,b的值及f(x)的表达式2设)16(2)1(4)(4)(kxkxfkxF,k为何值时,函数F(x)的值恒为负值解:1由已知02636)6(0224)2(3232abaafabaaf解得:08322aa(a<0)∴a=4从而b=8∴48164)(2xxxf224)16(2)1(4)48164(4)(22xkxkxkxxkxF欲0)(xF则08160kk得k<23.已知a>0,且5233xxaa,求ax的值。解:设xxaat则52)3())((22233ttaaaaaaaaxxxxxxxx用心爱心专心∴0)134)(4(052323ttttt∵09)2(13422ttt∴t=4即4xxaa∴014)(2xxaa∴22xa4.已知a>0,a1,211)(21nnaax,求nxx)1(2的值。解:211222112)(411)2(411(411nnnnnnaaaaaax))10(1)1()](21)(21[)1(11112aaaaaaaaxxnnnnnn5.已知nN*,nnnf9.0)(比较f(n)与f(n+1)大小,并求f(n)的最大值。解:nnnnnnnnnnfnf9.0109)9.09.0(9.09.09.0)1()()1(1∵09.0n∴)()1(9)9()10()()1(9)()1(91nfnfnffnfnfnnfnfn时,当即时,当时,当综上:f(0)f(11)>f(12)>……∴当n=9或n=10时,f(n)最大,最大值为f(9)=9×0.996.已知149yx,求12123yx的最大值。解:∵95)313(21)91(21331232121xxxyx∴当313x即x=1时,12123yx有最大值957.画出函数|21)21(|||xy的图象,并利用图象回答:k为何值时,方程用心爱心专心21kx|21)21(|||无解?有一解?有两解?解:当k<0或k>21时,无解。当21k时,方程有唯一解(x=0)。当k=0时,方程有两解(x=±1)。当210k时,方程有四个不同解。作业:《课课练》P76—77“例题推荐”1、2练习:4、5、6、7、8用心爱心专心

1、当您付费下载文档后,您只拥有了使用权限,并不意味着购买了版权,文档只能用于自身使用,不得用于其他商业用途(如 [转卖]进行直接盈利或[编辑后售卖]进行间接盈利)。
2、本站所有内容均由合作方或网友上传,本站不对文档的完整性、权威性及其观点立场正确性做任何保证或承诺!文档内容仅供研究参考,付费前请自行鉴别。
3、如文档内容存在违规,或者侵犯商业秘密、侵犯著作权等,请点击“违规举报”。

碎片内容

高中数学教学 单元复习之二——续单元复习之一教案人教版必修1A

您可能关注的文档

;绿洲书城+ 关注
实名认证
内容提供者

从事历史教学,热爱教育,高度负责。

相关文档

确认删除?
VIP
微信客服
  • 扫码咨询
会员Q群
  • 会员专属群点击这里加入QQ群
客服邮箱
回到顶部