电脑桌面
添加小米粒文库到电脑桌面
安装后可以在桌面快捷访问

高中数学函数的图象及解析式教案新人教版必修1VIP免费

高中数学函数的图象及解析式教案新人教版必修1_第1页
1/5
高中数学函数的图象及解析式教案新人教版必修1_第2页
2/5
高中数学函数的图象及解析式教案新人教版必修1_第3页
3/5
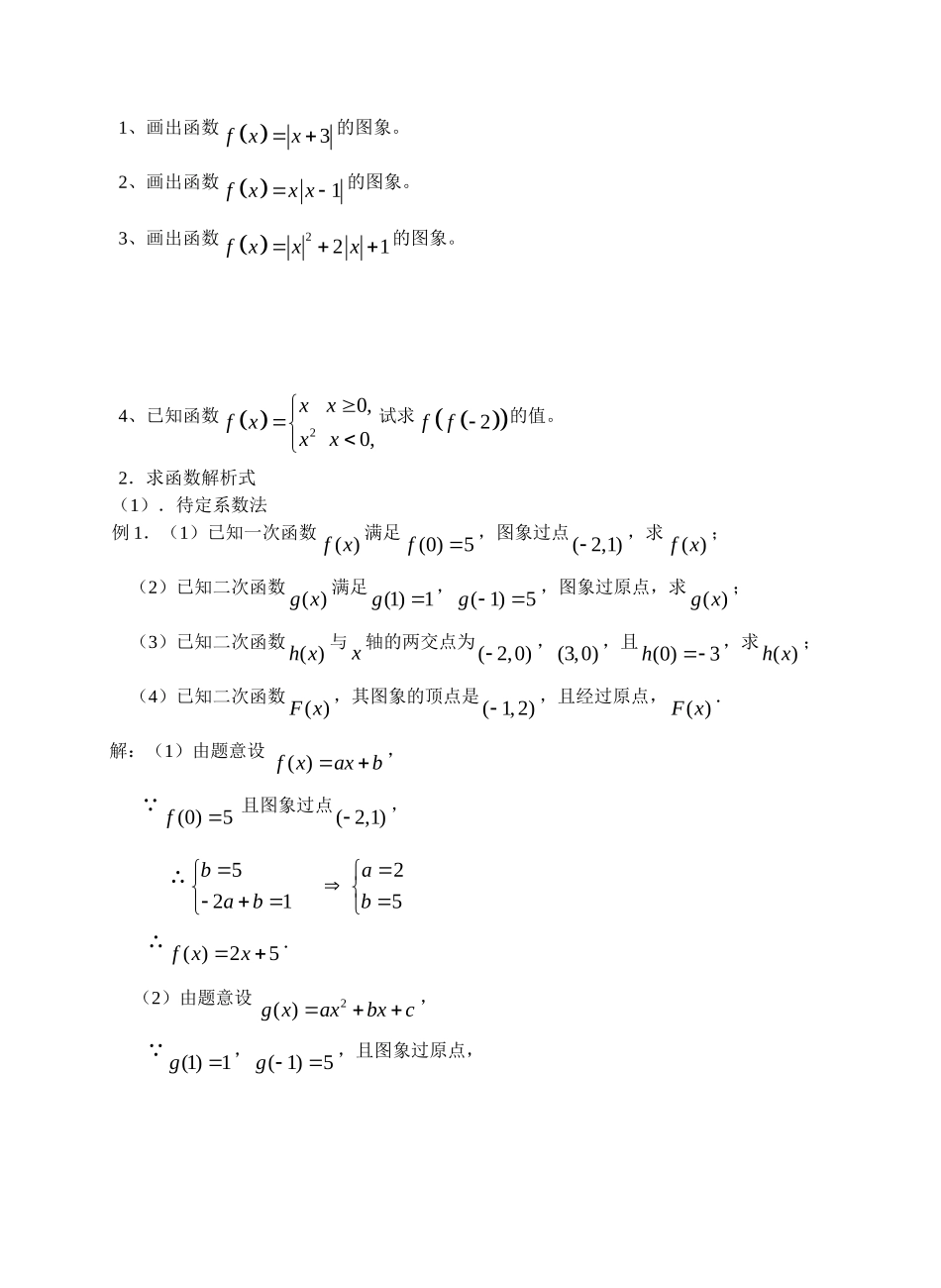
函数(4)——函数解析式二.教学目的:1.掌握求函数表达式的几种常见方法,如待定系数法、换元法、配凑法等。三.教学重点:函数表达式的常用求法四.教学过程:(一)新课讲解:1.函数的表示法(1)解析法:用一个等式来表示两个变量之间的函数关系,这个等式叫做函数的解析表达式,简称解析式。例如:24.9yx,2Ar,2yaxbxc(0)a.说明:①解析式法的优点是:函数关系清楚,容易从自变量的值求出其对应的函数值,便于用解析式来研究函数的性质;②中学里研究的主要是用解析式表示的函数。(2)列表法:用列表来表示两个变量之间的函数关系的方法。例如:只要知道了表2-1-1中的某个年份,就能从此表中查得相应的人口数.说明:列表法的优点是:不必通过计算就知道当自变量取某些值时函数的对应值。(3)图象法:用函数图象表示两个变量之间的关系。例如:气象台应用自动记录器,描绘温度随时间变化的曲线就是用图象法表示函数关系的。说明:图象法的优点是能直观形象地表示出函数的变化情况。例1、购买某种饮料x听,所需钱数为y元。若每听2元,试分别用解析法、列表法、图象法将y表示成x(1,2,3,4x的函数,并指出该函数的值域。例2、画函数fxx的图象,并求3,3,1,1ffff的值。例3、某市出租汽车收费标准如下:在3km以内(含3km)路程按起步价7元收费,超过3以外的路程按2.4元/km收费,试写出收费关于路程的函数解析式.定义:在定义域内不同部他上,有不同的解析表达式,像这样的函数通常叫做分段函数。注:含绝对值的函数实质上就是分段函数。练习:1、画出函数3fxx的图象。2、画出函数1fxxx的图象。3、画出函数221fxxx的图象。4、已知函数20,0,xxfxxx试求2ff的值。2.求函数解析式(1).待定系数法例1.(1)已知一次函数()fx满足(0)5f,图象过点(2,1),求()fx;(2)已知二次函数()gx满足(1)1g,(1)5g,图象过原点,求()gx;(3)已知二次函数()hx与x轴的两交点为(2,0),(3,0),且(0)3h,求()hx;(4)已知二次函数()Fx,其图象的顶点是(1,2),且经过原点,()Fx.解:(1)由题意设()fxaxb, (0)5f且图象过点(2,1),∴521bab25ab∴()25fxx.(2)由题意设2()gxaxbxc, (1)1g,(1)5g,且图象过原点,∴150abcabcc∴320abc∴2()32gxxx.(3)由题意设()(2)(3)hxaxx,又 (0)3h,∴63a得12a∴211()322hxxx.(4)由题意设2()(1)2Fxax,又 图象经过原点,∴(0)0F,∴20a得2a,∴2()24Fxxx.说明:①已知函数类型,求函数解析式,常用待定系数法;②基本步骤:设出函数的一般式(或顶点式等),代入已知条件,通过解方程(组)确定未知系数。(2)配凑法与换元法例2.(1)已知2()43fxxx,(1)fx;(2)已知2(1)2fxxx,求()fx.解:(1)22(1)(1)4(1)32fxxxxx.(2)法一配凑法:2(1)(1)212fxxxx2(1)41xx2(1)4(1)3xx∴2()43fxxx.法二换元法:令1xt,则1xt,22()(1)2(1)43fttttt∴2()43fxxx.练习:(1)已知2(3)21fxx,求()fx;(答案:22()19fxx)(2)已知2211()1fxxxx,求()fx.(答案:2()3fxx)说明:①已知()fx的解析式,求[()]fgx时,把x用()gx代替;②已知[()]fgx的解析式,求()fx时,常用配凑法或换元法。3.分段函数解析式例3.函数在闭区间[1,2]上的图象如右图所示,则求此函数的解析式。解:1(10)()1(02)2xxfxxx.4.实际应用问题例4.把长为a的铁丝折成矩形,设矩形的一边长为x,面积为s,求矩形面积s与一边长x的函数关系式。解:设矩形一边长为x,则另一边长为1(2)2ax,∴211(2)22sxaxxax((0,)2ax).说明:在解决实际问题时,求出函数解析式后,一定要写出定义域。五.小结:1.待定系数法求函数解析式的一般方法;2...

1、当您付费下载文档后,您只拥有了使用权限,并不意味着购买了版权,文档只能用于自身使用,不得用于其他商业用途(如 [转卖]进行直接盈利或[编辑后售卖]进行间接盈利)。
2、本站所有内容均由合作方或网友上传,本站不对文档的完整性、权威性及其观点立场正确性做任何保证或承诺!文档内容仅供研究参考,付费前请自行鉴别。
3、如文档内容存在违规,或者侵犯商业秘密、侵犯著作权等,请点击“违规举报”。

碎片内容

高中数学函数的图象及解析式教案新人教版必修1

您可能关注的文档

;绿洲书城+ 关注
实名认证
内容提供者

从事历史教学,热爱教育,高度负责。

确认删除?
VIP
微信客服
  • 扫码咨询
会员Q群
  • 会员专属群点击这里加入QQ群
客服邮箱
回到顶部