电脑桌面
添加小米粒文库到电脑桌面
安装后可以在桌面快捷访问

高中数学 第四章 三角函数小结与复习(2)教案VIP免费

高中数学 第四章 三角函数小结与复习(2)教案_第1页
1/7
高中数学 第四章 三角函数小结与复习(2)教案_第2页
2/7
高中数学 第四章 三角函数小结与复习(2)教案_第3页
3/7
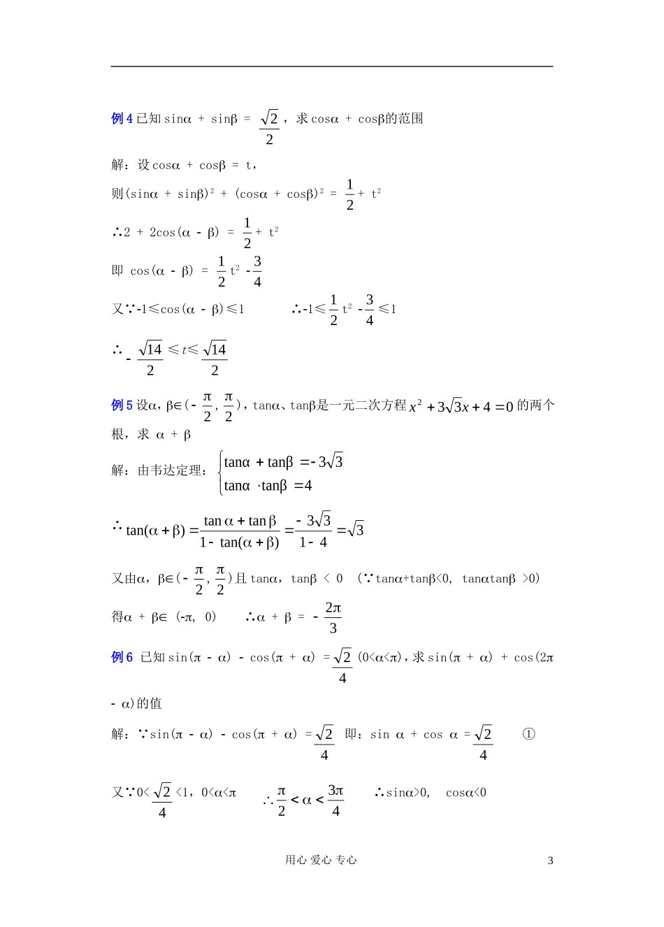
三角函数小结与复习(2)知识目标:1任意角的三角函数、任意角的概念、弧度制、任意角的三角函数的概念、同角三角函数间的关系、诱导公式;2两角和与差的三角函数、二倍角的三角函数;3三角函数的图象和性质、已知三角函数值求角教学目的:1理解任意角的概念、弧度的意义;能正确地进行弧度与角度的换算;2掌握任意角的正弦、余弦、正切的定义,并会利用与单位圆有关的三角函数线表示正弦、余弦和正切;了解任意角的余切、正割、余割的定义;掌握同角三角函数的基本关系式;掌握正弦、余弦的诱导公式;3掌握两角和与两角差的正弦、余弦、正切公式;掌握二倍角的正弦、余弦、正切公式;4能正确运用三角公式,进行三角函数式的化简、求值及恒等式证明;5会用与单位圆有关的三角函数线画出正弦函数、正切函数的图象,并在此基础上由诱导公式画出余弦函数的图象;理解周期函数与最小正周期的意义;并通过它们的图象理解正弦函数、余弦函数、正切函数的性质;会用“五点法”画正弦函数、余弦函数和函数y=Asin(ωx+)的简图,理解A、ω、的物理意义;6会用已知三角函数值求角,并会用符号arcsinx、arccosx、arctanx表示教学重点:三角函数的知识网络结构及各部分知识教学难点:熟练掌握各部分知识,并能灵活应用其解决相关问题德育目标:1渗透“变换”思想、“化归”思想;2培养逻辑推理能力;3培养学生探求精神教学方法:讲练结合法通过讲解强化训练题目,加深对三角函数知识的理解,提高对三角函数知识的应用能力授课类型:复习课课时安排:1课时教具:多媒体、实物投影仪教学过程:一、讲解范例:例1在△ABC中,已知cosA=135,sinB=53,则cosC的值为…………(A)用心爱心专心1A6516B6556C65566516或D6516解: C=(A+B)∴cosC=cos(A+B)又 A(0,)∴sinA=1312而sinB=53显然sinA>sinB∴A>B即B必为锐角∴cosB=54∴cosC=cos(A+B)=sinAsinBcosAcosB=651654135531312例2在△ABC中,C>90,则tanAtanB与1的关系适合………………(B)AtanAtanB>1BtanAtanB>1CtanAtanB=1D不确定解:在△ABC中 C>90∴A,B为锐角即tanA>0,tanB>0又:tanC<0于是:tanC=tan(A+B)=BABAtantan1tantan<0∴1tanAtanB>0即:tanAtanB<1又解:在△ABC中 C>90∴C必在以AB为直径的⊙O内(如图)过C作CDAB于D,DC交⊙O于C’,设CD=h,C’D=h’,AD=p,BD=q,则tanAtanB1'22pqhpqhqhph例3已知434,40,53)4cos(,135)43sin(,求sin(+)的值解: 434∴42又53)4cos(∴54)4sin( 40∴4343又135)43sin(∴1312)43cos(∴sin(+)=sin[+(+)]=)]43()4sin[()]43sin()4cos()43cos()4[sin(6563]13553)1312(54[用心爱心专心2BC’ACDhh'pq例4已知sin+sin=22,求cos+cos的范围解:设cos+cos=t,则(sin+sin)2+(cos+cos)2=21+t2∴2+2cos()=21+t2即cos()=21t243又 1≤cos()≤1∴1≤21t243≤1∴214≤t≤214例5设,(2,2),tan、tan是一元二次方程04332xx的两个根,求+解:由韦达定理:4tanβtanα33tanβtanα∴34133)tan(1tantan)tan(又由,(2,2)且tan,tan<0( tan+tan<0,tantan>0)得+(,0)∴+=32例6已知sin()cos(+)=42(0<<),求sin(+)+cos(2)的值解: sin()cos(+)=42即:sin+cos=42①又 0<42<1,0<<432∴sin>0,cos<0用心爱心专心3令a=sin(+)+cos(2)=sin+cos则a<0由①得:2sincos=87430cossin21a例7已知2sin()cos(+)=1(0<<),求cos(2)+sin(+)的值解:将已知条件化简得:2sin+cos=1①设cos(2)+sin(+)=a,则a=cossin②①②联立得:)21(31cos)...

1、当您付费下载文档后,您只拥有了使用权限,并不意味着购买了版权,文档只能用于自身使用,不得用于其他商业用途(如 [转卖]进行直接盈利或[编辑后售卖]进行间接盈利)。
2、本站所有内容均由合作方或网友上传,本站不对文档的完整性、权威性及其观点立场正确性做任何保证或承诺!文档内容仅供研究参考,付费前请自行鉴别。
3、如文档内容存在违规,或者侵犯商业秘密、侵犯著作权等,请点击“违规举报”。

碎片内容

高中数学 第四章 三角函数小结与复习(2)教案

您可能关注的文档

确认删除?
VIP
微信客服
  • 扫码咨询
会员Q群
  • 会员专属群点击这里加入QQ群
客服邮箱
回到顶部