电脑桌面
添加小米粒文库到电脑桌面
安装后可以在桌面快捷访问

半导体物理课后习题解答VIP免费

半导体物理课后习题解答_第1页
1/10
半导体物理课后习题解答_第2页
2/10
半导体物理课后习题解答_第3页
3/10
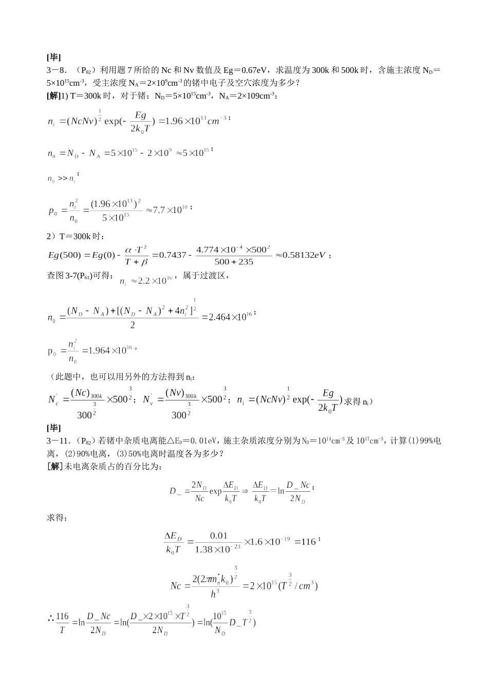
半导体物理习题解答1-1.(P32)设晶格常数为a的一维晶格,导带极小值附近能量Ec(k)和价带极大值附近能量Ev(k)分别为:Ec(k)=+和Ev(k)=-;m0为电子惯性质量,k1=1/2a;a=0.314nm。试求:①禁带宽度;②导带底电子有效质量;③价带顶电子有效质量;④价带顶电子跃迁到导带底时准动量的变化。[解]①禁带宽度Eg根据=+=0;可求出对应导带能量极小值Emin的k值:kmin=,由题中EC式可得:Emin=EC(K)|k=kmin=;由题中EV式可看出,对应价带能量极大值Emax的k值为:kmax=0;并且Emin=EV(k)|k=kmax=;∴Eg=Emin-Emax====0.64eV②导带底电子有效质量mn;∴mn=③价带顶电子有效质量m’,∴④准动量的改变量△k=(kmin-kmax)=[毕]1-2.(P33)晶格常数为0.25nm的一维晶格,当外加102V/m,107V/m的电场时,试分别计算电子自能带底运动到能带顶所需的时间。[解]设电场强度为E, F=h=qE(取绝对值)∴dt=dk∴t==dk=代入数据得:t==(s)当E=102V/m时,t=8.3×10-8(s);E=107V/m时,t=8.3×10-13(s)。[毕]3-7.(P81)①在室温下,锗的有效状态密度Nc=1.05×1019cm-3,Nv=5.7×1018cm-3,试求锗的载流子有效质量mn*和mp*。计算77k时的Nc和Nv。已知300k时,Eg=0.67eV。77k时Eg=0.76eV。求这两个温度时锗的本征载流子浓度。②77k,锗的电子浓度为1017cm-3,假定浓度为零,而Ec-ED=0.01eV,求锗中施主浓度ND为多少?[解]①室温下,T=300k(27℃),k0=1.380×10-23J/K,h=6.625×10-34J·S,对于锗:Nc=1.05×1019cm-3,Nv=5.7×1018cm-3:﹟求300k时的Nc和Nv:根据(3-18)式:根据(3-23)式:﹟求77k时的Nc和Nv:同理:﹟求300k时的ni:求77k时的ni:②77k时,由(3-46)式得到:Ec-ED=0.01eV=0.01×1.6×10-19;T=77k;k0=1.38×10-23;n0=1017;Nc=1.365×1019cm-3;[毕]3-8.(P82)利用题7所给的Nc和Nv数值及Eg=0.67eV,求温度为300k和500k时,含施主浓度ND=5×1015cm-3,受主浓度NA=2×109cm-3的锗中电子及空穴浓度为多少?[解]1)T=300k时,对于锗:ND=5×1015cm-3,NA=2×109cm-3:;;;;2)T=300k时:;查图3-7(P61)可得:,属于过渡区,;。(此题中,也可以用另外的方法得到ni:求得ni)[毕]3-11.(P82)若锗中杂质电离能△ED=0.01eV,施主杂质浓度分别为ND=1014cm-3及1017cm-3,计算(1)99%电离,(2)90%电离,(3)50%电离时温度各为多少?[解]未电离杂质占的百分比为:;求得:;∴(1)ND=1014cm-3,99%电离,即D_=1-99%=0.01即:将ND=1017cm-3,D_=0.01代入得:即:(2)90%时,D_=0.1即:ND=1017cm-3得:即:;(3)50%电离不能再用上式 即:∴即:取对数后得:整理得下式:∴即:当ND=1014cm-3时,得当ND=1017cm-3时此对数方程可用图解法或迭代法解出。[毕]3-14.(P82)计算含有施主杂质浓度ND=9×1015cm-3及受主杂质浓度为1.1×1016cm-3的硅在300k时的电子和空穴浓度以及费米能级的位置。[解]对于硅材料:ND=9×1015cm-3;NA=1.1×1016cm-3;T=300k时ni=1.5×1010cm-3:; 且∴∴[毕]3-18.(P82)掺磷的n型硅,已知磷的电离能为0.04eV,求室温下杂质一般电离时费米能级的位置和磷的浓度。[解]n型硅,△ED=0.044eV,依题意得:∴∴∴ ∴[毕]3-19.(P82)求室温下掺锑的n型硅,使EF=(EC+ED)/2时的锑的浓度。已知锑的电离能为0.039eV。[解]由可知,EF>ED, EF标志电子的填充水平,故ED上几乎全被电子占据,又 在室温下,故此n型Si应为高掺杂,而且已经简并了。 即;故此n型Si应为弱简并情况。∴∴其中[毕]3-20.(P82)制造晶体管一般是在高杂质浓度的n型衬底上外延一层n型的外延层,再在外延层中扩散硼、磷而成。①设n型硅单晶衬底是掺锑的,锑的电离能为0.039eV,300k时的EF位于导带底下面0.026eV处,计算锑的浓度和导带中电子浓度。[解]①根据第19题讨论,此时Ti为高掺杂,未完全电离:,即此时为弱简并 其中[毕]4-1.(P113)300K时,Ge的本征电阻率为47Ω·cm,如电子和空穴迁移率分别为3900cm2/V·S和1900cm2/V·S,试求本征Ge的载流子浓度。[解]T=300K,ρ=47Ω·cm,μn=3900cm2/V·...

1、当您付费下载文档后,您只拥有了使用权限,并不意味着购买了版权,文档只能用于自身使用,不得用于其他商业用途(如 [转卖]进行直接盈利或[编辑后售卖]进行间接盈利)。
2、本站所有内容均由合作方或网友上传,本站不对文档的完整性、权威性及其观点立场正确性做任何保证或承诺!文档内容仅供研究参考,付费前请自行鉴别。
3、如文档内容存在违规,或者侵犯商业秘密、侵犯著作权等,请点击“违规举报”。

碎片内容

半导体物理课后习题解答

文章天下+ 关注
实名认证
内容提供者

各种文档应有尽有

相关文档

确认删除?
VIP
微信客服
  • 扫码咨询
会员Q群
  • 会员专属群点击这里加入QQ群
客服邮箱
回到顶部