电脑桌面
添加小米粒文库到电脑桌面
安装后可以在桌面快捷访问

螺旋度及螺旋度方程的讨论VIP免费

螺旋度及螺旋度方程的讨论_第1页
1/8
螺旋度及螺旋度方程的讨论_第2页
2/8
螺旋度及螺旋度方程的讨论_第3页
3/8
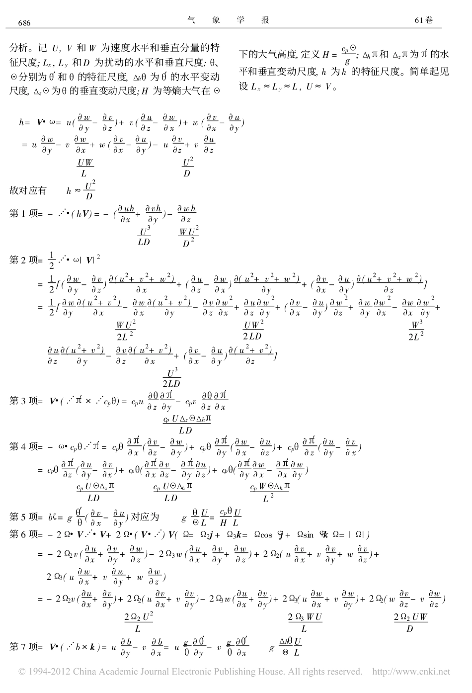
螺旋度及螺旋度方程的讨论X陆慧娟高守亭(中国科学院大气物理研究所,北京,100029)摘要文中从无摩擦的运动方程出发,利用量纲分析的方法,导出简化了的螺旋度方程和不同方向上的螺旋度方程,并对影响它们变化的各因子进行了讨论。分析结果表明,除了Lilly在1986年研究中强调的浮力效应外,压力梯度与涡度共同作用项和力管项对螺旋度的变化也有重要影响,甚至比浮力效应更大,且力管作用、水平压力梯度与水平涡度共同作用主要影响水平螺旋度,浮力效应、垂直压力梯度与垂直涡度共同作用主要影响垂直螺旋度;螺旋度的输送和大气的辐散、辐合对螺旋度变化的影响较弱;地转偏向力(无论是在水平方向还是垂直方向)的作用要在系统水平尺度较大时才能体现出来。水平和垂直方向上的螺旋度既相互区别在暴雨、强对流天气过程中表现出不同的作用,又相互联系。一方面,水平螺旋度更具预示性,对预报强风暴有指示意义,而垂直螺旋度更倾向为能反映系统的维持状况和系统发展、天气现象的剧烈程度的一个参数。另一方面,大的正水平螺旋度有助于垂直螺旋度的增长,而与垂直螺旋度对应的运动可能对水平螺旋度产生影响。将中尺度模式和螺旋度计算结合起来可能可以提高风暴路径和雨区的预报准确度。关键词:螺旋度,强风暴,不同方向上的螺旋度。1引言螺旋度是表征流体边旋转边沿旋转方向运动的动力特性的物理量,最早用来研究流体力学中的湍流问题,在等熵流体中具有守恒性质[1,2]。其严格定义为H=mV#(¨@V)dS,通常人们所说的螺旋度是局地螺旋度h,定义为h=V#(¨@V)。螺旋度的重要性还在于它比涡度包含了更多辐散风效应,更能体现大气的运动状况,其值的正负情况反映了涡度和速度的配合程度。自20世纪80年代以来,气象学者将螺旋度应用到对强对流风暴的旋转发展维持机制和其他相关的大气现象研究中,并对其在强对流天气分析预报中的应用进行了数值试验和诊断分析。Lilly[3,4]最早将螺旋度正式地引入到强对流风暴研究中。他的研究指出强对流风暴具有高螺旋度特征,它的螺旋度从环境场中获得并在浮力效应下增强,同时,高螺旋度阻碍了扰动能量耗散,对超级单体风暴的维持有重要作用;稳定的强对流风暴常发生在螺旋度值大的地方。Etling[5]讨论总结了大气中存在的几种典型螺旋流,并指出流体稳定性与螺旋度密切相关。Wu等[6]对切变热对流扰动中螺旋度的产生以及螺旋度与非线性能量传输之间的关系进行了研究。中国气象学者也较早对螺旋度的性质、应用做了研究。伍荣生等[7]推导出完全的螺旋度方程,并指出若不计摩擦、在准地转运动中,大气的螺旋度具有守恒的性质。Tan等[8]讨论、研究了螺旋度在边界层和锋区的动力性质。刘式适等[9]研究指出定常准地转模式中的螺旋度紧密地与大气垂直运动有关,即对于定常的大气大尺度运动,稳定层结下的上升运动对应正螺旋度,下沉运动对应负螺旋度;同样,螺旋度也紧密地与温度平流有关,暖平流对应正螺旋度,冷平流对应负螺旋度。螺旋度的重要性不仅体现在理论研究方面,还在于它在强对流天气分析预报中的应用。基于螺旋度的理论研究[3,4,10]及后来的数值模拟结果[11~15]和观测资料分析[16~21],螺旋度逐渐成为引入天气分析预报中的一个重要物理量。第61卷第6期2003年12月气象学报ACTAMETEOROLOGICASINICAVol.61,No.6December2003X初稿时间:2003年7月3日;修改稿时间:2003年9月1日。资助课题:中国科学院海外杰出学者基金(2002-1-2),中国科学院创新工程(KZCX3-SW-213)和奥运科技专项(2001BA904B09)。众所周知,大气是一个动力系统,人们关心表征其运动状态的物理量的变化趋势甚于关心这些物理量本身。因此,对影响螺旋度变化的因子进行研究是重要而有意义的,而这恰恰是过去研究所缺乏的。1986年,Lilly[4]在研究具有强螺旋性对流风暴的结构、能量及其传播时,在假设密度为常数和忽略科氏力影响的条件下,曾推导过螺旋度方程,并强调浮力效应对螺旋度的时间倾向影响很大。在实际情况下,密度不是常数,忽略密度的变化主要是影响力管效应,即大气斜压性不能很好地体现出来,而观测事实表明,强风暴天气常发生于风垂直切变大,即斜压性强的地方;另一方面,造成中国灾害性天气的大气系统常为中尺度或次天气尺度,科氏力的作用可能对螺旋度...

1、当您付费下载文档后,您只拥有了使用权限,并不意味着购买了版权,文档只能用于自身使用,不得用于其他商业用途(如 [转卖]进行直接盈利或[编辑后售卖]进行间接盈利)。
2、本站所有内容均由合作方或网友上传,本站不对文档的完整性、权威性及其观点立场正确性做任何保证或承诺!文档内容仅供研究参考,付费前请自行鉴别。
3、如文档内容存在违规,或者侵犯商业秘密、侵犯著作权等,请点击“违规举报”。

碎片内容

螺旋度及螺旋度方程的讨论

您可能关注的文档

文泉书屋+ 关注
实名认证
内容提供者

热爱教学事业,对互联网知识分享很感兴趣

确认删除?
VIP
微信客服
  • 扫码咨询
会员Q群
  • 会员专属群点击这里加入QQ群
客服邮箱
回到顶部