电脑桌面
添加小米粒文库到电脑桌面
安装后可以在桌面快捷访问

样本方差为何除以n-1VIP免费

样本方差为何除以n-1_第1页
1/6
样本方差为何除以n-1_第2页
2/6
样本方差为何除以n-1_第3页
3/6
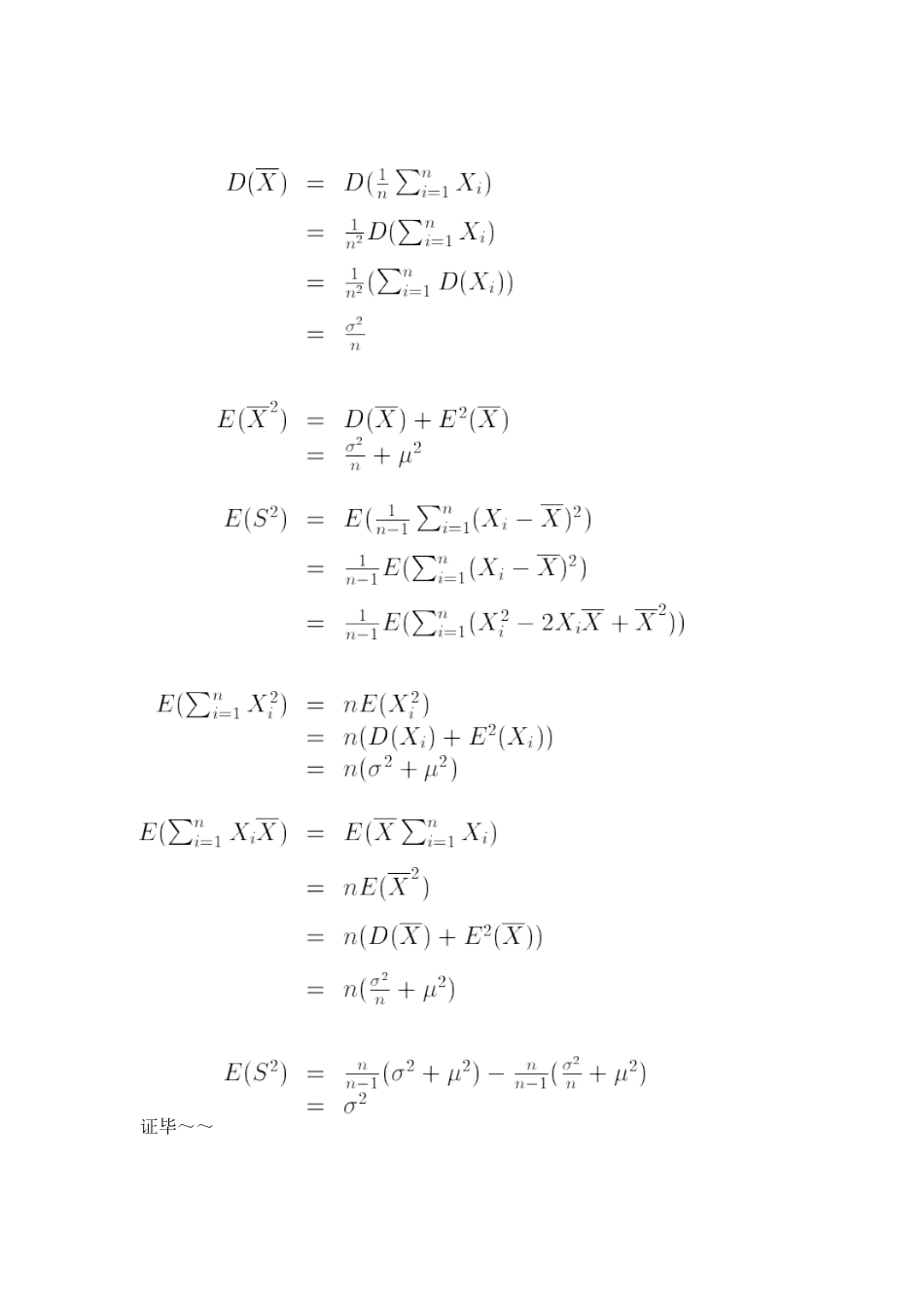
方差的概念从小学就开始建立了。对于一个随机变量,分别表示其数学期望和方差,从中随机抽取n个样本,是样本均值,是样本方差。那么为什么样本方差是除以而不是n呢?这里涉及到一个无偏估计的概念,是随机变量,同样也是随机变量,其中是对总体的一个估计,如果的期望分别等于的话,就说这种估计是无偏的。容易证明,但是的证明就不是那么显而易见了,下面我证明给大家看。记为的方差和期望。证毕~~写这篇文章可费了不少劲,大部分时间都花在了公式的编辑上面,这样写文章是不是很ooxx:EditorusingLaTeX但比起用Mathtype编辑然后上传来说,要省多了,尤其是在熟练以后。写这种篇文章还费了不少的水,一暖壶的水差不多被我喝干了。上卫生间时突然想起小时候和那帮家伙比尿尿,看谁尿的远,现在想来,那是很危险的,如果你的括约肌比较强劲的话……Tags:数学,概率统计.Filedunder:数理空间Bydutor@October28th,2009,10,627viewsComments(8)你好!除了代码,此处没有多少原创之物,皆为本人搜集、整理、总结之记录与心得,欢迎转载分享!转载时请尽量注明出处,将不胜感激。祝你健康、快乐«双缓冲还是虚存»HomeRFC:RequestForComments.Orz..1.LogintoReply↑ivan@October28,2009,5:59pm(#)2.LogintoReply↑ivan@October28,2009,6:17pm(#)3.恩,比较强劲LogintoReply↑侯JJ@October28,2009,6:43pm(#)4.LS是谁LogintoReply↑侯捷@October29,2009,7:34pm(#)5.1、关于样本方差的公式当初看概率课本(浙大版)的时候我也很奇怪,课本上就莫名其妙地给出了这个公式。最初自己认为当样本足够大的时候n和n-1其实相差不大,这样的话除了之后差别也不大。但实际上更多的时候样本其实可以很少,甚至只有两个样本,这样的话除出来差别就很大了。后来继续看课本,到后面讲到“无偏估计”的时候竟然鬼使神差地又提回了这个样本方差的公式,后来才醒悟过来,原来是为了达到无偏估计呀。dutor这里的证明跟课本上的思路一致,但是我觉得还有一个问题值得深究–为什么要有无偏估计?我觉得大致可以这样做进行理解(不知道是否正确,只是自己的猜测,所以希望能跟有兴趣的朋友讨论讨论):概率论是研究理想状态的一种模型,而数理统计是从现实的样本出发来研究样本规律(从而对现实生活、实践做指导),概率和数理统计是两个问题,然而两者通过大数定律进行联系,之所以进行联系是因为我们希望对现实的样本进行建模以方便研究。于是对于所得到的统计数据,我们的一个最大的目标就是希望能够对它进行建模,于是我们对数据的各种处理的原则都要考虑这一点,而样本方差正是因为这样而不得不在无偏估计进行考虑,从而导致样本的方差是除以n-1而不是n。2、关于latex的编排我也觉得排版很麻烦,不过不直达dutor注意过陶哲轩的博客吗,那里使用Python驱动的LaTeXtoWordPress直接对排版好的tex文档转换成html,然后复制粘贴过去就ok。不过这个程序好像不支持含有中文的tex文档。LogintoReply↑odawnw@February20,2011,11:56am(#)o你好!1.很钦佩你对数学的莫大兴趣和见解,我对概率论、数理统计、矩阵论一直都抱一种敬畏的态度,但一直没有较多的时间去系统的学习和深究。很认同你对概率论和数理统计关系的理解。关于无偏估计我想是不是还和“相信当前样本以最大概率出现”有些关系呢?没有足够的知识积淀,我不敢妄作论述2.我还知道一个JS库MathJax,可以部署自己独立的网页数学公式编辑环境,StackExchange的数学版块使用的就是这个库,只是这个库大了点你可以体验一下。PS.xdutor###gmail.com,如果你使用GTalk的话。LogintoReply↑dutor@February22,2011,4:07pm(#)6.赞一个~~明白易懂~~^_^LogintoReply↑LX@December12,2011,12:35pm(#)7.第二次引用课本时,最后一句应该是:估计量1/n….却不是..的无偏估计…。LogintoReply↑casablancahp@February20,2013,12:40pm(#)Youmustbeloggedintopostacomment.

1、当您付费下载文档后,您只拥有了使用权限,并不意味着购买了版权,文档只能用于自身使用,不得用于其他商业用途(如 [转卖]进行直接盈利或[编辑后售卖]进行间接盈利)。
2、本站所有内容均由合作方或网友上传,本站不对文档的完整性、权威性及其观点立场正确性做任何保证或承诺!文档内容仅供研究参考,付费前请自行鉴别。
3、如文档内容存在违规,或者侵犯商业秘密、侵犯著作权等,请点击“违规举报”。

碎片内容

样本方差为何除以n-1

起跑线书城+ 关注
实名认证
内容提供者

热爱教学事业,对互联网知识分享很感兴趣

确认删除?
VIP
微信客服
  • 扫码咨询
会员Q群
  • 会员专属群点击这里加入QQ群
客服邮箱
回到顶部