电脑桌面
添加小米粒文库到电脑桌面
安装后可以在桌面快捷访问

参数估计习题课VIP免费

参数估计习题课_第1页
1/9
参数估计习题课_第2页
2/9
参数估计习题课_第3页
3/9
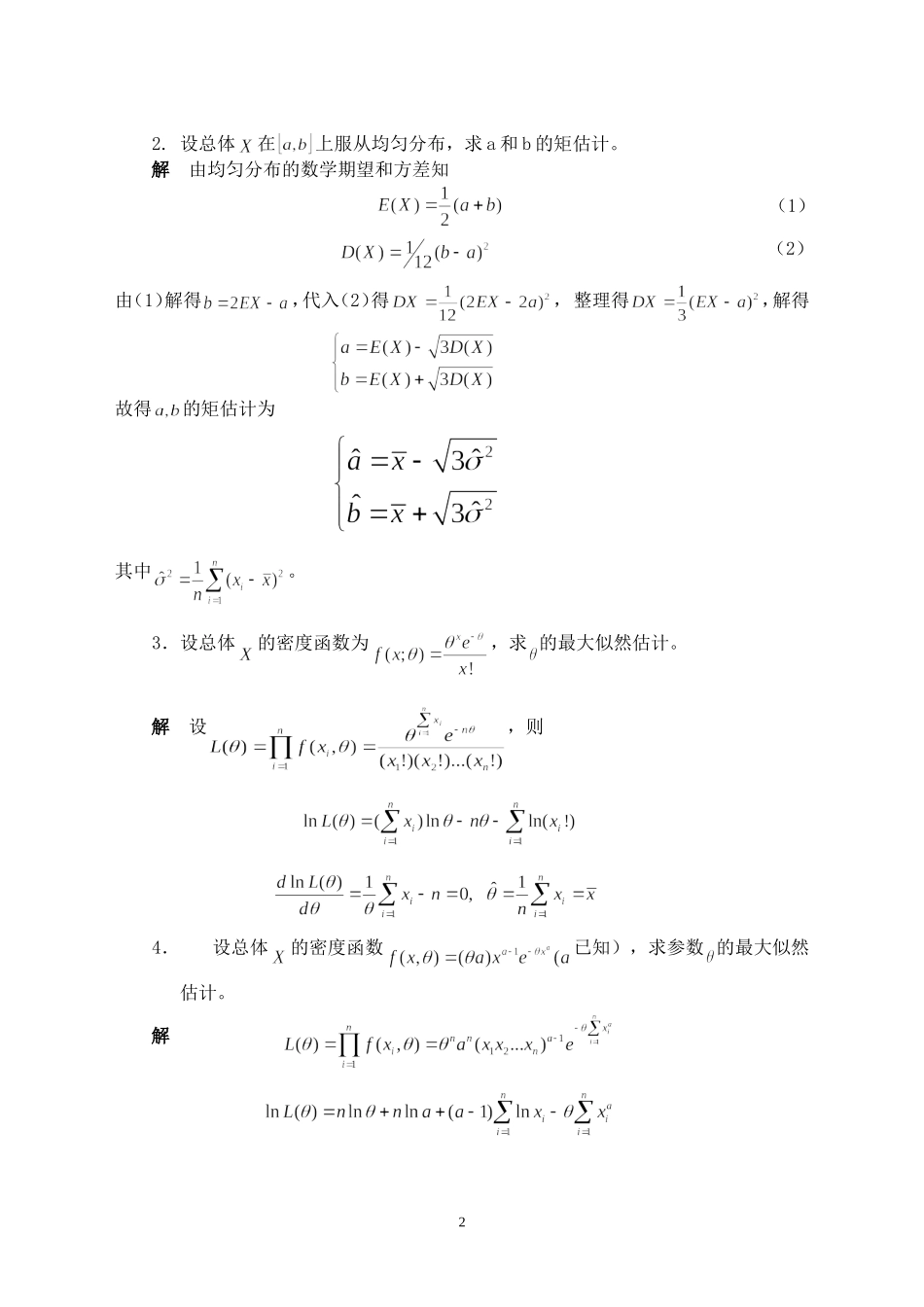
第21讲参数估计习题课教学目的:1.通过练习使学生进一步掌握矩估计和最大似然估计的计算方法;2.通过练习使学生理解无偏性和有效性对于评价估计量标准的重要性;3.通过练习使学生进一步掌握正态总体参数的区间估计和单侧置信限。教学重点:矩估计和最大似然估计,无偏性与有效性,正态总体参数的区间估计。教学难点:矩估计,最大似然估计,正态总体参数的区间估计。教学时数:2学时。教学过程:一、知识要点回顾1.矩估计用各阶样本原点矩作为各阶总体原点矩的估计,。若有参数,则参数的矩估计为。2.最大似然估计似然函数,取对数,从=0中解得的最大似然估计。3.无偏性,有效性当时,称为的无偏估计。当时,称估计量比有效。二、典型例题解析1.设,求的矩估计。解设则=故,所以。12.设总体在上服从均匀分布,求a和b的矩估计。解由均匀分布的数学期望和方差知(1)(2)由(1)解得,代入(2)得,整理得,解得故得的矩估计为其中。3.设总体的密度函数为,求的最大似然估计。解设,则4.设总体的密度函数已知),求参数的最大似然估计。解2解得。5.设和为参数的两个独立的无偏估计量,且假定,求常数和,使为的无偏估计,并使方差最小。解由于,且知,故得c+d=1。又由于并使其最小,即使,满足条件c+d=1的最小值。令d=1-c,代入得,解得。7.设某电子元件的寿命服从正态分布,抽样检查10个元件,得样本均值,样本标准差。求(1)总体均值置信水平为的置信区间;(2)用作为的估计值,求绝对误差值不大于10(h)的概率。解(1)由于未知,s=14(h),根据求置信区间的公式得查表得,故总体均值置信水平为的置信区间为(2)1-0.05=0.958.设为正态总体的一个样本,确定常数的值,使3为的无偏估计。解由于,所以有由(无偏性),故有,所以。二、计算题窗体顶端1.某工厂生产滚珠.从某日生产的产品中随机抽取9个,测得直径(单位:mm)如下:14.614.715.114.915.0解.设滚珠的直径为X,平均直径为μ,均方差为σ.由矩估计法可知414.815.115.214.8用矩估计法估计该日生产的滚珠的平均直径和均方差.,而,∴.,而=0.03654,∴.窗体顶端2.设总体X的密度函数为,其中(θ>0),求θ的极大似然估计量.解.设(X1,X2,…,Xn)是来自X的一样本.由极大似然估计原理,参数θ的似然函数为:,上式两边取对数,5似然方程为,解似然方程得θ的极大似然估计量是.窗体顶端3.设总体X的密度函数为,求α的极大似然估计量和矩估计量.解.设(X1,X2,…,Xn)是来自X的样本.(1)由矩估计法,∴.即参数α的矩估计量是.(2)由极大似然估计原理,参数α的似然函数为,上式两边取对数6,似然方程为,解似然方程得到参数α的极大似然估计量是.71.设,求的矩估计。解设则=故,所以。3.一地质学家研究密歇根湖湖地区的岩石成分,随机地自该地区取100个样品,每个样品有10块石子,记录了每个样品中属石灰石的石子数。假设这100次观察相互独立,并由过去经验知,它们都服从参数为n=10,P的二项分布。P是该地区一块石子是石灰石的概率。求p的极大似然估计值,该地质学家所得的数据如下样品中属石灰石的石子数012345678910观察到石灰石的样品个数016723262112310解:λ的极大似然估计值为==0.4994.设X1,X1,…,Xn为总体的样本,求各未知参数的极大似然估计值和估计量(1)其中c>0为已知,θ>1,θ为未知参数。(2)其中θ>0,θ为未知参数。解(1)似然函数(解唯一故为极大似然估计量)(2)8。(解唯一)故为极大似然估计量。6.设样本来自总体,如果要以99.7%的概率保证,试问样本容量n应取多大?解:。现要求n,使即,查表得,,所以n=219,即样本容量为219。8.设总体X具有分布律X123Pkθ22θ(1-θ)(1-θ)2其中θ(0<θ<1)为未知参数。已知取得了样本值x1=1,x2=2,x3=1,试求θ的矩估计值和最大似然估计值。解:(1)求θ的矩估计值则得到θ的矩估计值为(2)求θ的最大似然估计值似然函数lnL(θ)=ln2+5lnθ+ln(1-θ)求导得到唯一解为9

1、当您付费下载文档后,您只拥有了使用权限,并不意味着购买了版权,文档只能用于自身使用,不得用于其他商业用途(如 [转卖]进行直接盈利或[编辑后售卖]进行间接盈利)。
2、本站所有内容均由合作方或网友上传,本站不对文档的完整性、权威性及其观点立场正确性做任何保证或承诺!文档内容仅供研究参考,付费前请自行鉴别。
3、如文档内容存在违规,或者侵犯商业秘密、侵犯著作权等,请点击“违规举报”。

碎片内容

参数估计习题课

确认删除?
VIP
微信客服
  • 扫码咨询
会员Q群
  • 会员专属群点击这里加入QQ群
客服邮箱
回到顶部