电脑桌面
添加小米粒文库到电脑桌面
安装后可以在桌面快捷访问

高三数学 立体几何判定方法汇总教案VIP免费

高三数学 立体几何判定方法汇总教案_第1页
1/3
高三数学 立体几何判定方法汇总教案_第2页
2/3
高三数学 立体几何判定方法汇总教案_第3页
3/3
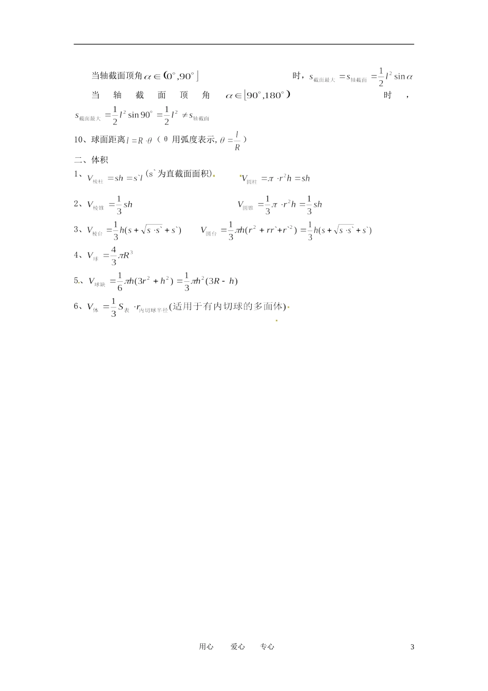
立体几何判定方法汇总一、判定两线平行的方法1、平行于同一直线的两条直线互相平行2、垂直于同一平面的两条直线互相平行3、如果一条直线和一个平面平行,经过这条直线的平面和这个平面相交,那么这条直线就和交线平行4、如果两个平行平面同时和第三个平面相交,那么它们的交线平行5、在同一平面内的两条直线,可依据平面几何的定理证明二、判定线面平行的方法1、据定义:如果一条直线和一个平面没有公共点2、如果平面外的一条直线和这个平面内的一条直线平行,则这条直线和这个平面平行3、两面平行,则其中一个平面内的直线必平行于另一个平面4、平面外的两条平行直线中的一条平行于平面,则另一条也平行于该平面5、平面外的一条直线和两个平行平面中的一个平面平行,则也平行于另一个平面三、判定面面平行的方法1、定义:没有公共点2、如果一个平面内有两条相交直线都平行于另一个平面,则两面平行3垂直于同一直线的两个平面平行4、平行于同一平面的两个平面平行四、面面平行的性质1、两平行平面没有公共点2、两平面平行,则一个平面上的任一直线平行于另一平面3、两平行平面被第三个平面所截,则两交线平行4、垂直于两平行平面中一个平面的直线,必垂直于另一个平面五、判定线面垂直的方法1、定义:如果一条直线和平面内的任何一条直线都垂直,则线面垂直2、如果一条直线和一个平面内的两条相交线垂直,则线面垂直3、如果两条平行直线中的一条垂直于一个平面,则另一条也垂直于该平面4、一条直线垂直于两个平行平面中的一个平面,它也垂直于另一个平面5、如果两个平面垂直,那么在一个平面内垂直它们交线的直线垂直于另一个平面6、如果两个相交平面都垂直于另一个平面,那么它们的交线垂直于另一个平面六、判定两线垂直的方法1、定义:成角2、直线和平面垂直,则该线与平面内任一直线垂直3、在平面内的一条直线,如果和这个平面的一条斜线的射影垂直,那么它也和这条斜线垂直4、在平面内的一条直线,如果和这个平面的一条斜线垂直,那么它也和这条斜线的射影垂直5、一条直线如果和两条平行直线中的一条垂直,它也和另一条垂直七、判定面面垂直的方法1、定义:两面成直二面角,则两面垂直2、一个平面经过另一个平面的一条垂线,则这个平面垂直于另一平面用心爱心专心1八、面面垂直的性质1、二面角的平面角为2、在一个平面内垂直于交线的直线必垂直于另一个平面3、相交平面同垂直于第三个平面,则交线垂直于第三个平面九、各种角的范围1、异面直线所成的角的取值范围是:2、直线与平面所成的角的取值范围是:3、斜线与平面所成的角的取值范围是:4、二面角的大小用它的平面角来度量;取值范围是:十、三角形的心1、内心:内切圆的圆心,角平分线的交点2、外心:外接圆的圆心,垂直平分线的交点3、重心:中线的交点4、垂心:高的交点一、面积:1、2、中截面面积:3、4、5、预备定理①②③6、面积比是相似比的平方,体积比是相似比的立方7、圆锥轴截面的顶角α和侧面展开图的圆心角θ的关系为:8、圆台上、下底面半径为r`、r,母线为l,圆台侧面展开后所得的扇环圆心角为θ,则:9、圆锥中,过两母线的截面面积为s用心爱心专心2当轴截面顶角时,当轴截面顶角时,10、球面距离(θ用弧度表示,)二、体积1、(s`为直截面面积)2、3、4、5、6、用心爱心专心3

1、当您付费下载文档后,您只拥有了使用权限,并不意味着购买了版权,文档只能用于自身使用,不得用于其他商业用途(如 [转卖]进行直接盈利或[编辑后售卖]进行间接盈利)。
2、本站所有内容均由合作方或网友上传,本站不对文档的完整性、权威性及其观点立场正确性做任何保证或承诺!文档内容仅供研究参考,付费前请自行鉴别。
3、如文档内容存在违规,或者侵犯商业秘密、侵犯著作权等,请点击“违规举报”。

碎片内容

高三数学 立体几何判定方法汇总教案

您可能关注的文档

确认删除?
VIP
微信客服
  • 扫码咨询
会员Q群
  • 会员专属群点击这里加入QQ群
客服邮箱
回到顶部