电脑桌面
添加小米粒文库到电脑桌面
安装后可以在桌面快捷访问

高三数学 名校尖子生培优大专题 选择题解法探讨2 由因导果法教案 新人教A版-新人教A版高三全册数学教案VIP免费

高三数学 名校尖子生培优大专题 选择题解法探讨2 由因导果法教案 新人教A版-新人教A版高三全册数学教案_第1页
1/4
高三数学 名校尖子生培优大专题 选择题解法探讨2 由因导果法教案 新人教A版-新人教A版高三全册数学教案_第2页
2/4
高三数学 名校尖子生培优大专题 选择题解法探讨2 由因导果法教案 新人教A版-新人教A版高三全册数学教案_第3页
3/4
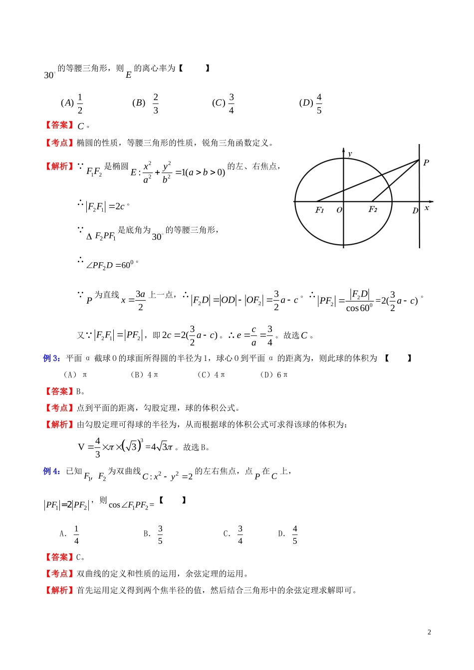
第2讲:选择题解法探讨选择题的题型构思精巧,形式灵活,知识容量大,覆盖面广,一般不拘泥于具体的知识点,而是将数学知识、方法等原理融于一体,突出对数学思想方法的考查,可以比较全面地考察学生的基础知识和基本技能,还能考查学生的思维敏捷性,是高考数学中的一种重要题型。近年来,高考数学试题推出了一些思路开阔、情景新颖脱俗的选择题,解决这类问题主要注意三个方面:一是提高总体能力;二是要跳出传统思维定式,学会数学的合情推理;三是要熟练地进行数学图形、符号、文字三种语言的转换。在全国各地高考数学试卷中,选择题约占总分的30%~40%,因此掌握选择题的解法,快速、准确地解答好选择题是夺取高分的关键之一。选择题由题干和选项两部分组成,题干可以是由一个问句或一个半陈述句构成,选项中有四个答案,至少有一个正确的答案,这个正确的答案可叫优支,而不正确的答案可叫干扰支或惑支。目前在高考数学试卷中,如果没有特别说明,都是“四选一”的选择题,即单项选择题。选择题要求解题者从若干个选项中选出正确答案,并按题目的要求,把正确答案的字母代号填入指定位置。笔者将选择题的解法归纳为应用概念法、由因导果法、执果索因法、代入检验法、特殊元素法、筛选排除法、图象解析法、待定系数法、分类讨论法、探索规律法十种,下面通过2012年全国各地高考的实例探讨这十种方法。二、由因导果法:由因导果法,又称综合法,直接推演法,是解选择题的一种常用方法,也是一种基本方法。它的解题方法是根据选择题的题设条件,通过应用定义、公理、公式、定理等经过计算、推理或判断,得出正确的结论,再从四个选项中选出与已得结论一致的正确答案。由因导果法解题自然,不受选项的影响,运用数学知识,通过综合法,直接得出正确答案。典型例题:例1:已知集合{1,2,3,4,5}A,{(,),,}BxyxAyAxyA;,则B中所含元素的个数为【】()A3()B6()C()D【答案】D。【考点】集合的运算。【解析】由{1,2,3,4,5}A,,{(,),,}BxyxAyAxyA得:2,1xy;3,1,2xy;4,1,2,3xy;5,1,2,3,4xy,所以B中所含元素的个数为。故选D。例2:设12FF是椭圆2222:1(0)xyEabab的左、右焦点,P为直线32ax上一点,21FPF是底角为130的等腰三角形,则E的离心率为【】()A12()B23()C()D【答案】C。【考点】椭圆的性质,等腰三角形的性质,锐角三角函数定义。【解析】 12FF是椭圆2222:1(0)xyEabab的左、右焦点,∴212FFc。 21FPF是底角为30的等腰三角形,∴0260PFD。 P为直线32ax上一点,∴2232FDODOFac。∴2203=2()cos602FDPFac。又 21FF2PF,即322()2cac。∴34cea。故选C。例3:平面α截球O的球面所得圆的半径为1,球心O到平面α的距离为,则此球的体积为【】(A)π(B)4π(C)4π(D)6π【答案】B。【考点】点到平面的距离,勾股定理,球的体积公式。【解析】由勾股定理可得球的半径为,从而根据球的体积公式可求得该球的体积为:3V43=433。故选B。例4:已知12FF,为双曲线22:2Cxy的左右焦点,点P在C上,12PFPF=2,则12cos=FPF【】A.14B.35C.34D.45【答案】C。【考点】双曲线的定义和性质的运用,余弦定理的运用。【解析】首先运用定义得到两个焦半径的值,然后结合三角形中的余弦定理求解即可。2由22222122xyxy可知,2ab,∴222cab。∴12=4FF。设21,PFkPFk=2,则12PFPFk=。∴根据双曲线的定义,得12222PFPFka=。∴2122,42PFPF=。在12PFF中,应用用余弦定理得22212121212328163cos=2324PFPFFFFPFPFPF。故选C。例5:已知正四棱柱1111ABCDABCD中,1222ABCCE,,为1CC的中点,则直线1AC与平面BED的距离为【】A.2B.3C.2D.1【答案】D。【考点】正四棱柱的性质,点到面的距离,线面平行的距离,勾股定理。【解析】连接AC,AC和BD交于点O,则在1ACC中, ABCD是正方形,∴BOOD,又 E为1CC的中点,∴1OEAC∥。∴则点1C到平面BED的距离等于C到平面BED的距离。过点C作CHOE于点H,则CH即...

1、当您付费下载文档后,您只拥有了使用权限,并不意味着购买了版权,文档只能用于自身使用,不得用于其他商业用途(如 [转卖]进行直接盈利或[编辑后售卖]进行间接盈利)。
2、本站所有内容均由合作方或网友上传,本站不对文档的完整性、权威性及其观点立场正确性做任何保证或承诺!文档内容仅供研究参考,付费前请自行鉴别。
3、如文档内容存在违规,或者侵犯商业秘密、侵犯著作权等,请点击“违规举报”。

碎片内容

高三数学 名校尖子生培优大专题 选择题解法探讨2 由因导果法教案 新人教A版-新人教A版高三全册数学教案

您可能关注的文档

确认删除?
VIP
微信客服
  • 扫码咨询
会员Q群
  • 会员专属群点击这里加入QQ群
客服邮箱
回到顶部