电脑桌面
添加小米粒文库到电脑桌面
安装后可以在桌面快捷访问

【精品】高考数学一轮复习必备 第28课时:第四章 三角函数-同角三角函数的基本关系式及诱导公式教案VIP免费

【精品】高考数学一轮复习必备 第28课时:第四章 三角函数-同角三角函数的基本关系式及诱导公式教案_第1页
1/3
【精品】高考数学一轮复习必备 第28课时:第四章 三角函数-同角三角函数的基本关系式及诱导公式教案_第2页
2/3
【精品】高考数学一轮复习必备 第28课时:第四章 三角函数-同角三角函数的基本关系式及诱导公式教案_第3页
3/3
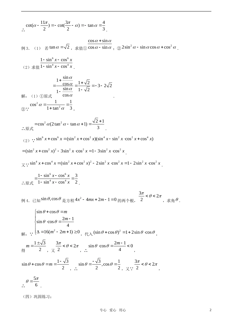
第28课时:第四章三角函数——同角三角函数的基本关系式及诱导公式一.课题:同角三角函数的基本关系与诱导公式二.教学目标:掌握同角三角函数的基本关系式及诱导公式;并能运用这些公式进行求值、化简与证明.三.教学重点:公式的恰当选用及利用公式时符号的正确选取.四.教学过程:(一)主要知识:1.同角三角函数的基本关系式:(1)倒数关系:tancot1;(2)商数关系:sincostan,cotcossin;(3)平方关系:22sincos1.2.诱导公式,奇变偶不变,符号看象限.(二)主要方法:1.利用同角三角函数的基本关系式时要细心观察题目的特征,注意公式的合理选用,特别要注意开方时的符号选取,切割化弦是常用的方法;2.学会利用方程的思想解三角题,对于sincos,sincos,sincos三个式子中,已知其中一个式子的值,可求其余两个式子的值.(三)例题分析:例1.化简sintantan(cossin)cotscc分析:切割化弦是解本题的出发点.解:原式sinsinsin(cossin)cossincos1cossinsin.例2.化简(1)sin()cos()44;(2)已知32,cos(9)5,求11cot()2的值.解:(1)原式sin()cos[()]424sin()sin()044.(2)3cos()cos(9)5,∴3cos5,∵2,∴4sin5,sin4tancos3,专心爱心用心1∴1134cot()cot()tan223.例3.(1)若tan2,求值①cossincossin;②222sinsincoscos.(2)求值66441sincos1sincosxxxx.解:(1)①原式sin112cos322sin121cos.②∵2211cos1tan3,∴原式2221cos(2tantan1)3.(2)∵66224224sincos(sincos)(sinsincoscos)xxxxxxxx2222222(sincos)3sincos13sincosxxxxxx.又∵442222222sincos(sincos)2sincos12sincosxxxxxxxx.∴原式66441sincos31sincos2xxxx.例4.已知sin,cos是方程244210xmxm的两个根,322,求角.解:∵2sincos21sincos416(21)0mmmm,代入2(sincos)12sincos,得132m,又322,∴21sincos04m,13sincos2m,∴31sin,cos22,又∵322,∴56.(四)巩固练习:专心爱心用心21.若(cos)cos2fxx,(sin15)f(D)()A12()B12()C32()D322.已知1sincos(0)5,则tan34.五.课后作业:《高考A计划》考点25,智能训练4,6,7,9,10,12,15专心爱心用心3

1、当您付费下载文档后,您只拥有了使用权限,并不意味着购买了版权,文档只能用于自身使用,不得用于其他商业用途(如 [转卖]进行直接盈利或[编辑后售卖]进行间接盈利)。
2、本站所有内容均由合作方或网友上传,本站不对文档的完整性、权威性及其观点立场正确性做任何保证或承诺!文档内容仅供研究参考,付费前请自行鉴别。
3、如文档内容存在违规,或者侵犯商业秘密、侵犯著作权等,请点击“违规举报”。

碎片内容

【精品】高考数学一轮复习必备 第28课时:第四章 三角函数-同角三角函数的基本关系式及诱导公式教案

您可能关注的文档

确认删除?
VIP
微信客服
  • 扫码咨询
会员Q群
  • 会员专属群点击这里加入QQ群
客服邮箱
回到顶部