电脑桌面
添加小米粒文库到电脑桌面
安装后可以在桌面快捷访问

人教版高中数学必修第二册6.3不等式证明五(放缩法、反证法)教案VIP免费

人教版高中数学必修第二册6.3不等式证明五(放缩法、反证法)教案_第1页
1/3
人教版高中数学必修第二册6.3不等式证明五(放缩法、反证法)教案_第2页
2/3
人教版高中数学必修第二册6.3不等式证明五(放缩法、反证法)教案_第3页
3/3
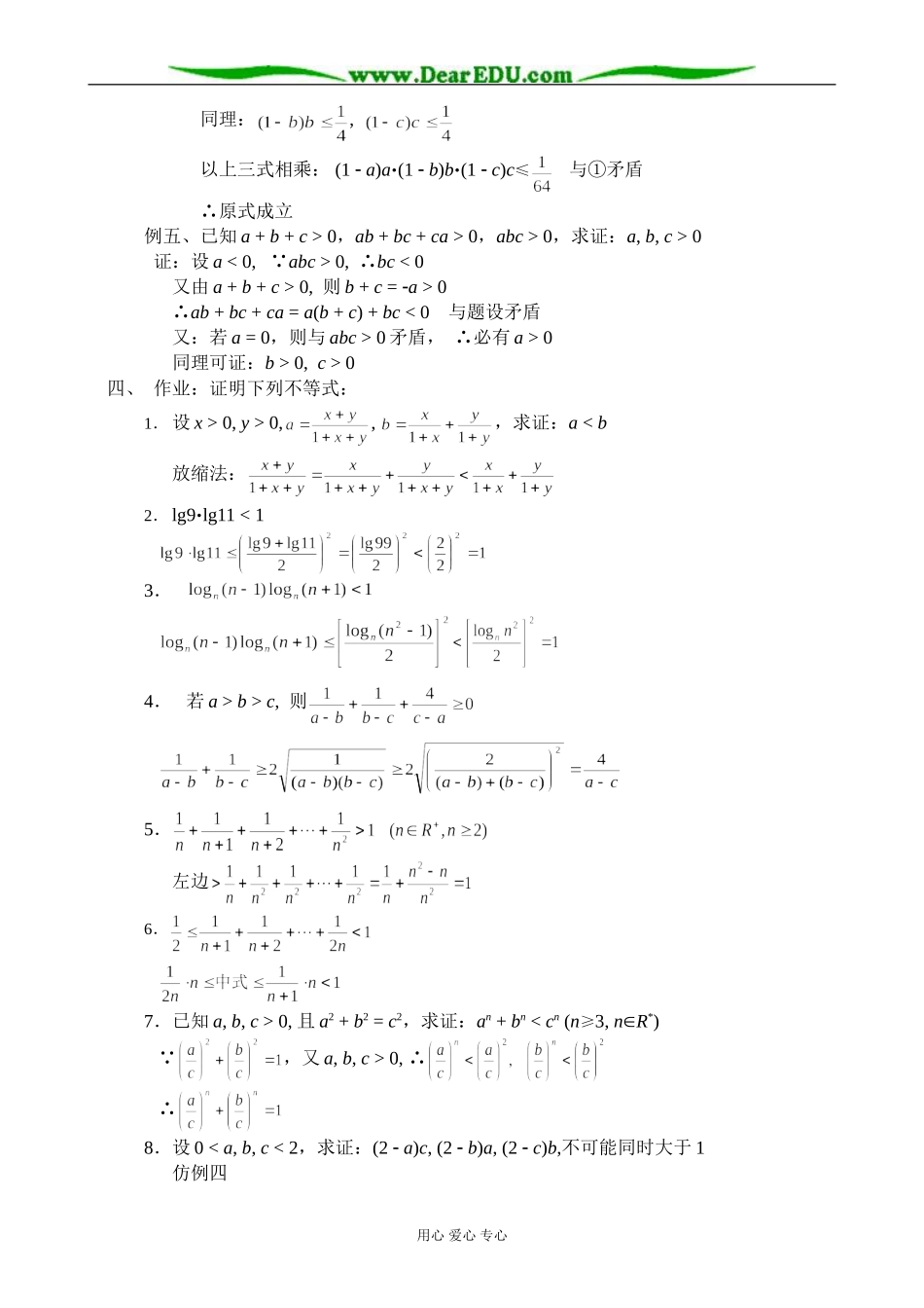
第十教时教材:不等式证明五(放缩法、反证法)目的:要求学生掌握放缩法和反证法证明不等式。过程:一、简要回顾已经学习过的几种不等式证明的方法提出课题:放缩法与反证法二、放缩法:例一、若a,b,c,dR+,求证:证:记m=∵a,b,c,dR+∴∴12时,求证:证:∵n>2∴∴∴n>2时,例三、求证:证:∴三、反证法:例四、设0,(1b)c>,(1c)a>,则三式相乘:ab<(1a)b•(1b)c•(1c)a<①又∵00,ab+bc+ca>0,abc>0,求证:a,b,c>0证:设a<0,∵abc>0,∴bc<0又由a+b+c>0,则b+c=a>0∴ab+bc+ca=a(b+c)+bc<0与题设矛盾又:若a=0,则与abc>0矛盾,∴必有a>0同理可证:b>0,c>0四、作业:证明下列不等式:1.设x>0,y>0,,,求证:ab>c,则5.左边6.7.已知a,b,c>0,且a2+b2=c2,求证:an+bn0,∴∴8.设00,且x+y>2,则和中至少有一个小于2反设≥2,≥2∵x,y>0,可得x+y≤2与x+y>2矛盾用心爱心专心

1、当您付费下载文档后,您只拥有了使用权限,并不意味着购买了版权,文档只能用于自身使用,不得用于其他商业用途(如 [转卖]进行直接盈利或[编辑后售卖]进行间接盈利)。
2、本站所有内容均由合作方或网友上传,本站不对文档的完整性、权威性及其观点立场正确性做任何保证或承诺!文档内容仅供研究参考,付费前请自行鉴别。
3、如文档内容存在违规,或者侵犯商业秘密、侵犯著作权等,请点击“违规举报”。

碎片内容

人教版高中数学必修第二册6.3不等式证明五(放缩法、反证法)教案

确认删除?
VIP
微信客服
  • 扫码咨询
会员Q群
  • 会员专属群点击这里加入QQ群
客服邮箱
回到顶部