电脑桌面
添加小米粒文库到电脑桌面
安装后可以在桌面快捷访问

湖南师范大学附属中学高一数学 指数(2)教案VIP免费

湖南师范大学附属中学高一数学 指数(2)教案_第1页
1/3
湖南师范大学附属中学高一数学 指数(2)教案_第2页
2/3
湖南师范大学附属中学高一数学 指数(2)教案_第3页
3/3
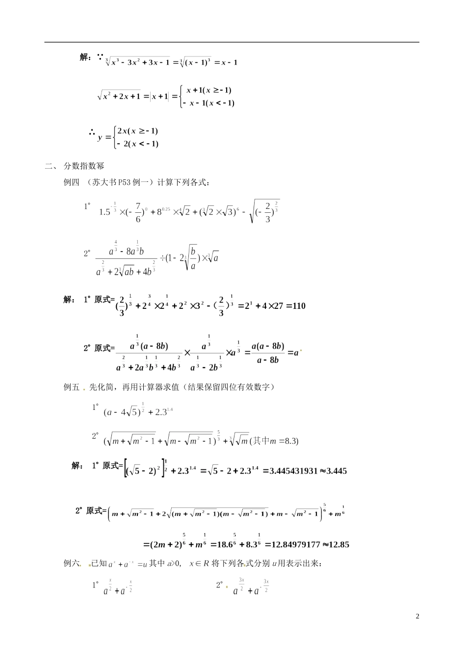
湖南师范大学附属中学高一数学教案:指数(2)教材:指数(2)苏大《教学与测试》第25、26课目的:复习巩固根式与分数指数幂的概念,并能用以解决具体问题。过程:一、根式例一(苏大P51例一)写出使下列等式成立的x的取值范围:12解:1只须有意义,即3∴的取值范围是(∞,3)∪(3,+∞)2∵∴成立的充要条件是∴的取值范围是[5,5]例二1化简2求证:解:1原式==(注意复习,根式开平方)2证:∵∴由平方根的定义得:例三画出函数的图象。1解:∵∴二、分数指数幂例四(苏大书P53例一)计算下列各式:12解:1原式=2原式=例五先化简,再用计算器求值(结果保留四位有效数字)12解:1原式=2原式=例六已知其中a>0,将下列各式分别u用表示出来:122解:12三作业《教学与测试》余下部分3

1、当您付费下载文档后,您只拥有了使用权限,并不意味着购买了版权,文档只能用于自身使用,不得用于其他商业用途(如 [转卖]进行直接盈利或[编辑后售卖]进行间接盈利)。
2、本站所有内容均由合作方或网友上传,本站不对文档的完整性、权威性及其观点立场正确性做任何保证或承诺!文档内容仅供研究参考,付费前请自行鉴别。
3、如文档内容存在违规,或者侵犯商业秘密、侵犯著作权等,请点击“违规举报”。

碎片内容

湖南师范大学附属中学高一数学 指数(2)教案

您可能关注的文档

确认删除?
VIP
微信客服
  • 扫码咨询
会员Q群
  • 会员专属群点击这里加入QQ群
客服邮箱
回到顶部