电脑桌面
添加小米粒文库到电脑桌面
安装后可以在桌面快捷访问

江西乐安一中高二数学 教案01 均值不等式VIP免费

江西乐安一中高二数学 教案01 均值不等式_第1页
1/5
江西乐安一中高二数学 教案01 均值不等式_第2页
2/5
江西乐安一中高二数学 教案01 均值不等式_第3页
3/5
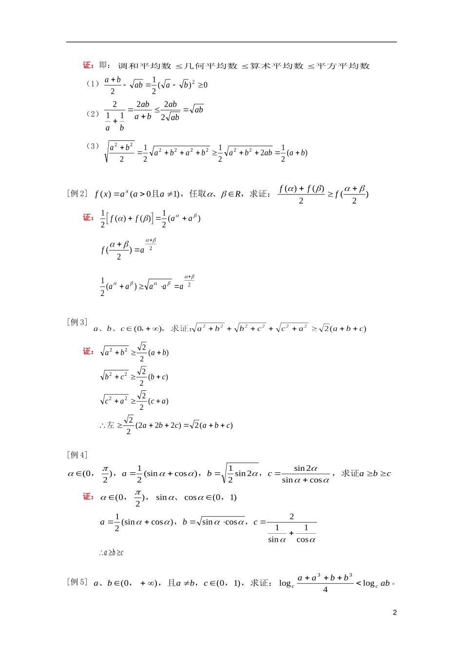
江西乐安一中高二数学教案:04解不等式(一)【同步教育信息】一.教学内容:均值不等式二.重点、难点:1.ab、,()0:调和平均数211ab几何平均数ab算术平均数ab2平方平均数ab2222112222abababab(证明见例题1)2.均值不等式ababab2最常有,应注意、均为正数时,才可使用,注意“”成立的条件。3.4.5.形如yfxexfaxbxc()2,整理为:yfxexfmexfhexfnmexfnexfh()()()()21当(见例题8)6.形如yfxaxbxcexf()2,整理为:ymexfhexfnexfmexfnexfh()()()2当mnexfyfxymnh、、,时,有最小值,()()()min02【典型例题】[例1]ababababab、,,求证:()021122221证:即:调和平均数几何平均数算术平均数平方平均数(1)ababab21202()(2)211222abababababab(3)abababababab2222222221212212()[例2]fxaaaRfffx()()()()()0122且,任取、,求证:证:1212ffaa()()()fa()22122()aaaaa[例3]证:abab2222()bcbc2222()caca2222()左222222()()abcabc[例4]()(sincos)sinsinsincos02121222,,,,,求证abcabc证:()sincos()0201,,、,abc12211(sincos)sincossincos,,abc[例5]ababcaabbabcc、,,且,,,求证:()()loglog001433。2证:aabbab334aabbab3341左右141114212121122122()()()ababbaabababab[例6]abcbcaaacbbabcc、、,,求证:()03证:左bacaabcbacbcbaabcaaccbbc1113()()()22233[例7]abcabcabc、、,,且,求证:()()()()011118证:[例8]xyxx()0342,时,求的最大值。解:形如yexfaxbxcyxxxx23432434型,[例9]xyxx()3232,,求的最小值。解:形如yaxbxcexf2型,yxxxxxxx231231832312183231831223612242()()()()当且仅当时,“”成立,即时,23183624()minxxxy[例10]xyxytxy、,,且,求的最小值。()02111解:txyyyyyyyyyyyyy11112112121212131122()()()()31211131321111322322()()yyyy【模拟试题】1.下列函数中,最小值是4的是()A.yxxxsinsin()40,B.yxxxtancot()422,C.yxRxx343D.yxxxxloglog1041001且2.若abcRabbcca、、,且,则下列各式成立的是1()A.abc2222B.()abc23C.11123abcD.abc33.ababab001111122,,且,则的最小值为()()()A.1B.4C.9D.164.abxyaxbyabxy、为正常数,、为正变数,且,求的最小值。1()4【试题答案】1.C2.B3.C4.解法一:axbyxayb1,xyaybxxaybab0,()()xyxaybabxaybabababab()()()()()()()222解法二:ybxxababxaxyxabxabxaabxaabababab()()()225

1、当您付费下载文档后,您只拥有了使用权限,并不意味着购买了版权,文档只能用于自身使用,不得用于其他商业用途(如 [转卖]进行直接盈利或[编辑后售卖]进行间接盈利)。
2、本站所有内容均由合作方或网友上传,本站不对文档的完整性、权威性及其观点立场正确性做任何保证或承诺!文档内容仅供研究参考,付费前请自行鉴别。
3、如文档内容存在违规,或者侵犯商业秘密、侵犯著作权等,请点击“违规举报”。

碎片内容

江西乐安一中高二数学 教案01 均值不等式

您可能关注的文档

星河书苑+ 关注
实名认证
内容提供者

从事历史教学,热爱教育,高度负责。

相关文档

确认删除?
VIP
微信客服
  • 扫码咨询
会员Q群
  • 会员专属群点击这里加入QQ群
客服邮箱
回到顶部