电脑桌面
添加小米粒文库到电脑桌面
安装后可以在桌面快捷访问

内蒙古赤峰二中高中数学 1.1.1 正弦定理教案 新人教B版必修5VIP免费

内蒙古赤峰二中高中数学 1.1.1 正弦定理教案 新人教B版必修5_第1页
1/6
内蒙古赤峰二中高中数学 1.1.1 正弦定理教案 新人教B版必修5_第2页
2/6
内蒙古赤峰二中高中数学 1.1.1 正弦定理教案 新人教B版必修5_第3页
3/6
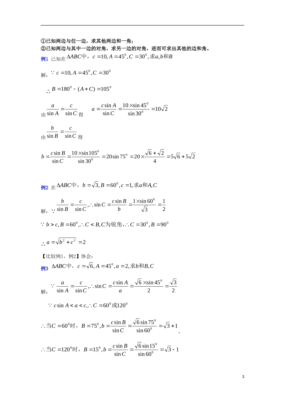
1.1.1正弦定理【教学目的】1.理解并掌握正弦定理,能初步运用正弦定理解斜三角形;2.理解用向量方法推导正弦定理的过程,进一步巩固向量知识,体现向量的工具性。【教学重点】正弦定理的证明和理解【教学难点】正弦定理的证明【教学过程】一.新课引入:初中学习了全等三角形只要根据已知条件就能判断三角形是否全等。能否根据给定条件算出三角形的未知边与未知角?这就是解三角形。解三角形有几个重要定理,今天学习其中之一----正弦定理问题1.在直角三角形ABC中,对应边依次为a,b,c,求证:Aasin=Bbsin=Ccsin【猜想与推广】正弦定理:在任一个三角形中,各边和它所对角的正弦比相等,即Aasin=Bbsin=Ccsin=2R(R为△ABC外接圆半径)证明:2.斜三角形中证明一:(等积法)在任意斜△ABC当中abcOBCADS△ABC=AbcBacCabsin21sin21sin21两边同除以abc21即得:Aasin=Bbsin=Ccsin证明二:(外接圆法)如图所示,∠A=∠D∴RCDDaAa2sinsin1同理Bbsin=2R,Ccsin=2R证明三:(向量法)过A作单位向量j垂直于AC由AC+CB=AB两边同乘以单位向量j得j•(AC+CB)=j•AB则j•AC+j•CB=j•AB∴|j|•|AC|cos90+|j|•|CB|cos(90C)=|j|•|AB|cos(90A)∴AcCasinsin∴Aasin=Ccsin同理,若过C作j垂直于CB得:Ccsin=Bbsin∴Aasin=Bbsin=Ccsin二.正弦定理的应用定理剖析,加深理解⑴正弦定理:在一个三角形中,各边与它所对角的正弦的比相等,即:CcBbAasinsinsin⑵从表达式的结构看,正弦定理所表达的边与对角的正弦的比是严格的对边与对角的正弦比。这种对应关系是严谨的,也是和谐的,它体现了数学的一种和谐美。⑶从方程的观点看,表达式中每一个等号所形成的等式中,含有四个量,显然可"知三求一"。于是,正弦定理可解决两类有关解三角形的问题:2①已知两边与任一边,求其他两边和一角;②已知两边与其中一边的对角,求另一边的对角,进而可求出其他的边和角。例1已知在BbaCAcABC和求中,,,30,45,1000解:0030,45,10CAc∴00105)(180CAB由CcAasinsin得21030sin45sin10sinsin00CAca由CcBbsinsin得25654262075sin2030sin105sin10sinsin000CBcb例2在CAacBbABC,,1,60,30和求中,解: 21360sin1sinsin,sinsin0bBcCCcBb00090,30,,60,BCCBCBcb为锐角,∴222cba【比较例1,例2】体会:例3CBbaAcABC,,2,45,60和求中,解:23245sin6sinsin,sinsin0aAcCCcAa0012060,sin或CcaAc1360sin75sin6sinsin,75600000CBcbBC时,当,1360sin15sin6sinsin,151200000CBcbBC时,当3或0060,75,13CBb00120,15,13CBb【变式】02,135,3,ABCaAbB中,求【探索】(*)例4已知△ABC,BD为B的平分线,求证:AB∶BC=AD∶DC四、课堂练习:1奎屯王新敞新疆在△ABC中,kCcBbAasinsinsin,则k为()A奎屯王新敞新疆2RB奎屯王新敞新疆RC奎屯王新敞新疆4RD奎屯王新敞新疆R21(R为△ABC外接圆半径)2奎屯王新敞新疆△ABC中,sin2A=sin2B+sin2C,则△ABC为()A奎屯王新敞新疆直角三角形B奎屯王新敞新疆等腰直角三角形C奎屯王新敞新疆等边三角形D奎屯王新敞新疆等腰三角形(*)3奎屯王新敞新疆在△ABC中,求证:2222112cos2cosbabBaA五、小结正弦定理,两种应用六、课后作业:1在ABC中,已知3b,45A,60B,求a2在ABC中,已知3c,45A,60B,求b3奎屯王新敞新疆在△ABC中,已知)sin()sin(sinsinCBBACA,求证:2b2=a2+c2奎屯王新敞新疆4.在△ABC中,已知coscosbAaB试判断△ABC的形状。(**)5.在ABC中,内角A、B、C的对应三边分别为cba,,,已知4(sinsin4)(2BBfBB2cos)2,若满足2)(mBf对任意三角形都成立,求实数m的取值范围利用正弦定理解三角形时,解的问题的探讨:已知a,b和A,用正弦定理求B时的各种情况:⑴若A为锐角时:4)(ba),(babsinA)(bsinAasin锐角一解一钝一锐二解直角一解无解Abababababaa已知边a,b和A仅有一个解有两个解仅有一个...

1、当您付费下载文档后,您只拥有了使用权限,并不意味着购买了版权,文档只能用于自身使用,不得用于其他商业用途(如 [转卖]进行直接盈利或[编辑后售卖]进行间接盈利)。
2、本站所有内容均由合作方或网友上传,本站不对文档的完整性、权威性及其观点立场正确性做任何保证或承诺!文档内容仅供研究参考,付费前请自行鉴别。
3、如文档内容存在违规,或者侵犯商业秘密、侵犯著作权等,请点击“违规举报”。

碎片内容

内蒙古赤峰二中高中数学 1.1.1 正弦定理教案 新人教B版必修5

您可能关注的文档

星河书苑+ 关注
实名认证
内容提供者

从事历史教学,热爱教育,高度负责。

确认删除?
VIP
微信客服
  • 扫码咨询
会员Q群
  • 会员专属群点击这里加入QQ群
客服邮箱
回到顶部