电脑桌面
添加小米粒文库到电脑桌面
安装后可以在桌面快捷访问

湖南师范大学附属中学高一数学 数列求和教案VIP免费

湖南师范大学附属中学高一数学 数列求和教案_第1页
1/3
湖南师范大学附属中学高一数学 数列求和教案_第2页
2/3
湖南师范大学附属中学高一数学 数列求和教案_第3页
3/3
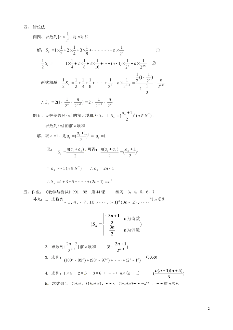
湖南师范大学附属中学高一数学教案:数列求和教材:数列求和目的:小结数列求和的常用方法,尤其是要求学生初步掌握用拆项法、裂项法和错位法求一些特殊的数列。过程:一、提出课题:数列求和——特殊数列求和常用数列的前n项和:二、拆项法:例一、(《教学与测试》P91例二)求数列的前n项和。解:设数列的通项为an,前n项和为Sn,则当时,当时,三、裂项法:例二、求数列前n项和解:设数列的通项为bn,则例三、求数列前n项和解:1四、错位法:例四、求数列前n项和解:①②两式相减:例五、设等差数列{an}的前n项和为Sn,且,求数列{an}的前n项和解:取n=1,则又:可得:五、作业:《教学与测试》P91—92第44课练习3,4,5,6,7补充:1.求数列前n项和2.求数列前n项和3.求和:(5050)4.求和:1×4+2×5+3×6+……+n×(n+1)5.求数列1,(1+a),(1+a+a2),……,(1+a+a2+……+an1),……前n项和23

1、当您付费下载文档后,您只拥有了使用权限,并不意味着购买了版权,文档只能用于自身使用,不得用于其他商业用途(如 [转卖]进行直接盈利或[编辑后售卖]进行间接盈利)。
2、本站所有内容均由合作方或网友上传,本站不对文档的完整性、权威性及其观点立场正确性做任何保证或承诺!文档内容仅供研究参考,付费前请自行鉴别。
3、如文档内容存在违规,或者侵犯商业秘密、侵犯著作权等,请点击“违规举报”。

碎片内容

湖南师范大学附属中学高一数学 数列求和教案

您可能关注的文档

确认删除?
VIP
微信客服
  • 扫码咨询
会员Q群
  • 会员专属群点击这里加入QQ群
客服邮箱
回到顶部