电脑桌面
添加小米粒文库到电脑桌面
安装后可以在桌面快捷访问

湖南师范大学附属中学高一数学 等比数列的前n项和教案VIP免费

湖南师范大学附属中学高一数学 等比数列的前n项和教案_第1页
1/2
湖南师范大学附属中学高一数学 等比数列的前n项和教案_第2页
2/2
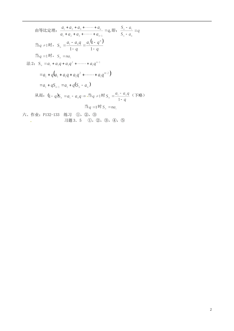
湖南师范大学附属中学高一数学教案:等比数列的前n项和教材:等比数列的前项和目的:要求学生掌握求等比数列前项的和的(公式),并了解推导公式所用的方法。过程:一、复习等比数列的通项公式,有关性质,及等比中项等概念。二、引进课题,采用印度国际象棋发明者的故事,即求①用错项相消法推导结果,两边同乘以公比:②②-①:这是一个庞大的数字>1.84×,以小麦千粒重为40计算,则麦粒总质量达7000亿吨——国王是拿不出来的。三、一般公式推导:设①乘以公比,②①②:,时:时:注意:(1)和各已知三个可求第四个,(2)注意求和公式中是,通项公式中是不要混淆,(3)应用求和公式时,必要时应讨论的情况。四、例1、(P131,例一略)——直接应用公式。例2、(P131,例二略)——应用题,且是公式逆用(求),要用对数算。例3、(P131-132,例三略)——简单的“分项法”。例4、设数列为求此数列前项的和。解:(用错项相消法)①②①②,当时,当时,五、小结:(1)等比数列前项和的公式,及其注意点,(2)错项相消法。再介绍两种推导等比数列求和公式的方法,(作机动)法1:设∵成GP,∴1由等比定理:即:当时,当时,法2:从而:当时(下略)当时六、作业:P132-133练习①,②,③习题3.5①,②,③,④,⑤2

1、当您付费下载文档后,您只拥有了使用权限,并不意味着购买了版权,文档只能用于自身使用,不得用于其他商业用途(如 [转卖]进行直接盈利或[编辑后售卖]进行间接盈利)。
2、本站所有内容均由合作方或网友上传,本站不对文档的完整性、权威性及其观点立场正确性做任何保证或承诺!文档内容仅供研究参考,付费前请自行鉴别。
3、如文档内容存在违规,或者侵犯商业秘密、侵犯著作权等,请点击“违规举报”。

碎片内容

湖南师范大学附属中学高一数学 等比数列的前n项和教案

您可能关注的文档

确认删除?
VIP
微信客服
  • 扫码咨询
会员Q群
  • 会员专属群点击这里加入QQ群
客服邮箱
回到顶部