电脑桌面
添加小米粒文库到电脑桌面
安装后可以在桌面快捷访问

湖南师范大学附属中学高一数学 复习两角和与差的三角函数教案VIP免费

湖南师范大学附属中学高一数学 复习两角和与差的三角函数教案_第1页
1/3
湖南师范大学附属中学高一数学 复习两角和与差的三角函数教案_第2页
2/3
湖南师范大学附属中学高一数学 复习两角和与差的三角函数教案_第3页
3/3
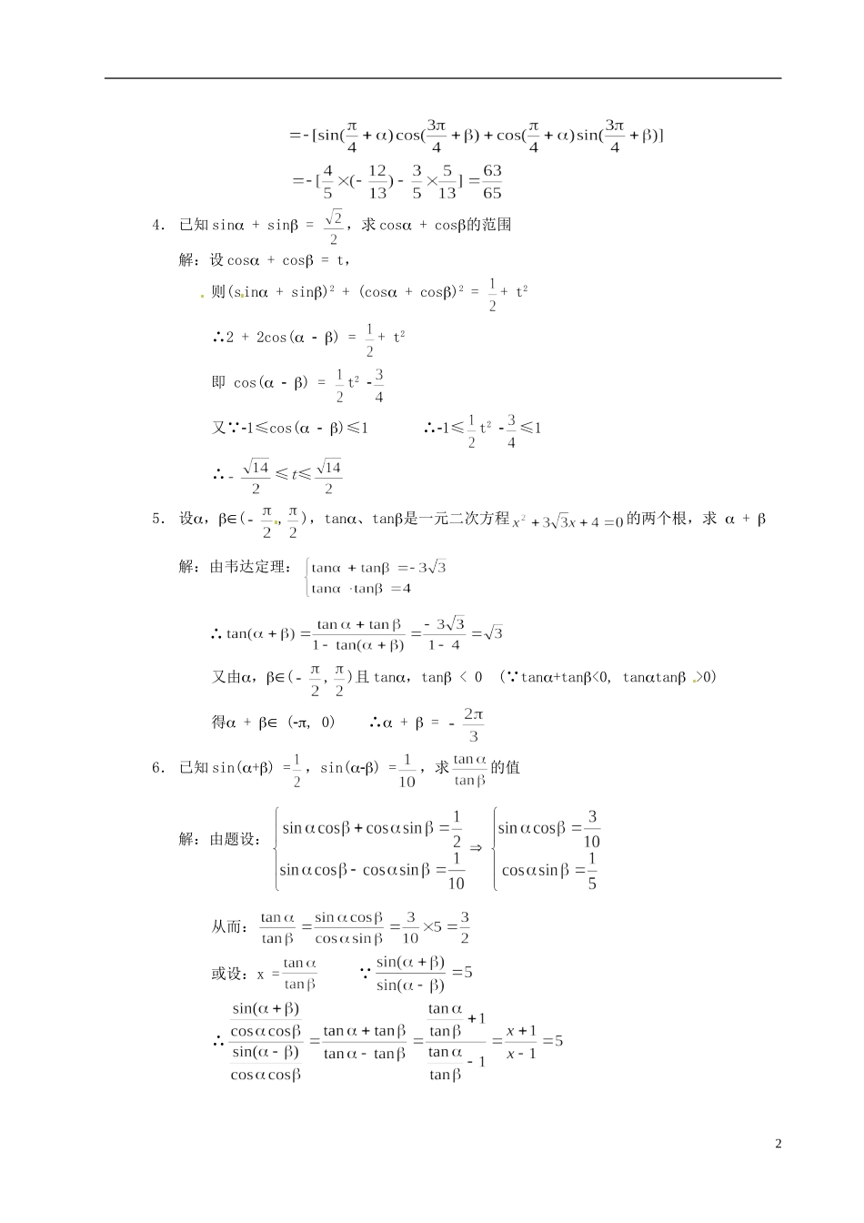
湖南师范大学附属中学高一数学教案:复习两角和与差的三角函数教材:复习两角和与差的三角函数(用《导学创新》)目的:通过复习让学生进一步熟悉有关内容,并正确运用有关技巧解决具体问题。过程:一、复习:有关公式二、强调有关解题技巧:化弦、辅助角、角变换、公式逆用、正余弦和积互换三、例题:1.在△ABC中,已知cosA=,sinB=,则cosC的值为…………(A)A.B.C.D.解:∵C=(A+B)∴cosC=cos(A+B)又∵A(0,)∴sinA=而sinB=显然sinA>sinB∴A>B即B必为锐角∴cosB=∴cosC=cos(A+B)=sinAsinBcosAcosB=2.在△ABC中,C>90,则tanAtanB与1的关系适合………………(B)A.tanAtanB>1B.tanAtanB>1C.tanAtanB=1D.不确定解:在△ABC中∵C>90∴A,B为锐角即tanA>0,tanB>0又:tanC<0于是:tanC=tan(A+B)=<0∴1tanAtanB>0即:tanAtanB<1又解:在△ABC中∵C>90∴C必在以AB为直径的⊙O内(如图)过C作CDAB于D,DC交⊙O于C’,设CD=h,C’D=h’,AD=p,BD=q,则tanAtanB3.已知,,,,求sin(+)的值解:∵∴又∴∵∴又∴∴sin(+)=sin[+(+)]=1BC’ACDhh'pq4.已知sin+sin=,求cos+cos的范围解:设cos+cos=t,则(sin+sin)2+(cos+cos)2=+t2∴2+2cos()=+t2即cos()=t2又∵1≤cos()≤1∴1≤t2≤1∴≤t≤5.设,(,),tan、tan是一元二次方程的两个根,求+解:由韦达定理:∴又由,(,)且tan,tan<0(∵tan+tan<0,tantan>0)得+(,0)∴+=6.已知sin(+)=,sin()=,求的值解:由题设:从而:或设:x=∵∴2∴x=即=四、作业:《课课练》P63—64第34课课外作业:课本P88复习参考题14—1803

1、当您付费下载文档后,您只拥有了使用权限,并不意味着购买了版权,文档只能用于自身使用,不得用于其他商业用途(如 [转卖]进行直接盈利或[编辑后售卖]进行间接盈利)。
2、本站所有内容均由合作方或网友上传,本站不对文档的完整性、权威性及其观点立场正确性做任何保证或承诺!文档内容仅供研究参考,付费前请自行鉴别。
3、如文档内容存在违规,或者侵犯商业秘密、侵犯著作权等,请点击“违规举报”。

碎片内容

湖南师范大学附属中学高一数学 复习两角和与差的三角函数教案

您可能关注的文档

确认删除?
VIP
微信客服
  • 扫码咨询
会员Q群
  • 会员专属群点击这里加入QQ群
客服邮箱
回到顶部