电脑桌面
添加小米粒文库到电脑桌面
安装后可以在桌面快捷访问

内蒙古赤峰二中高中数学 不等式的性质(2)教案 新人教B版必修5VIP免费

内蒙古赤峰二中高中数学 不等式的性质(2)教案 新人教B版必修5_第1页
1/3
内蒙古赤峰二中高中数学 不等式的性质(2)教案 新人教B版必修5_第2页
2/3
内蒙古赤峰二中高中数学 不等式的性质(2)教案 新人教B版必修5_第3页
3/3
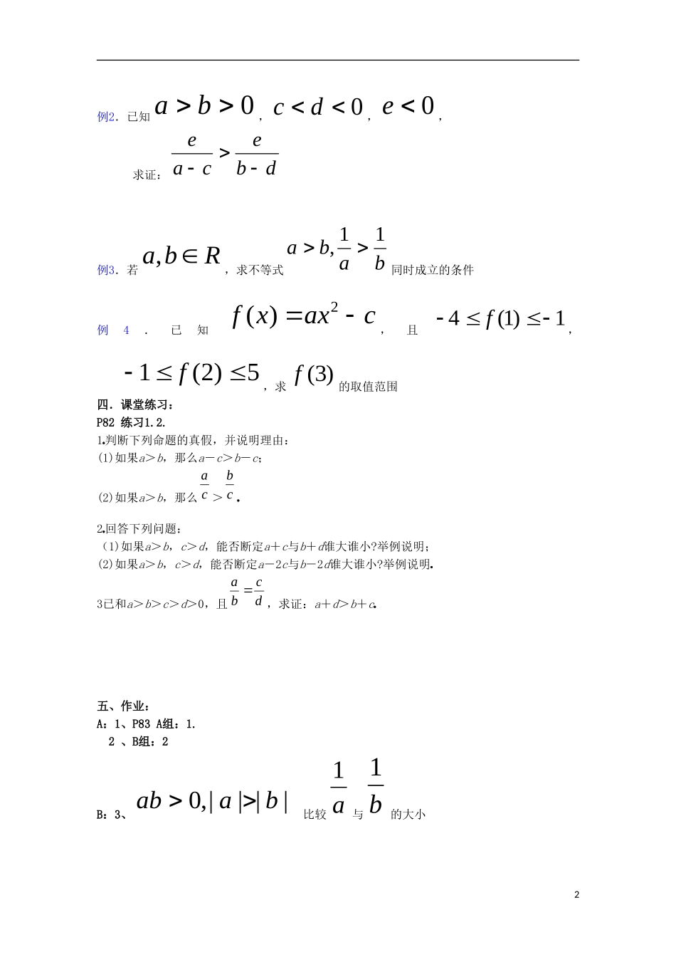
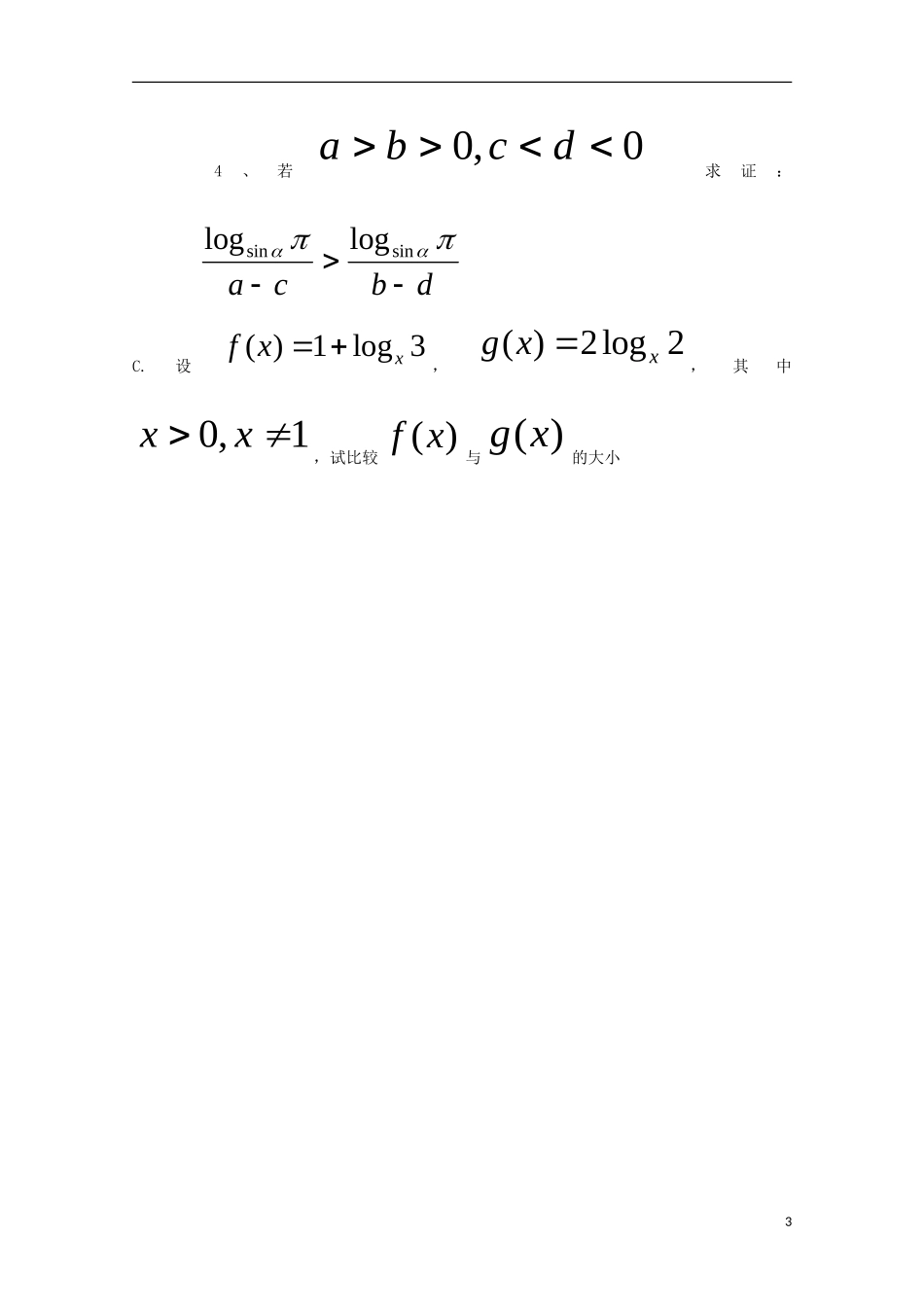
课题:不等式的性质(2)教学目的:1.理解实际生活中的不等关系2.理解同向不等式,异向不等式概念;3.理解不等式的性质1-4及其证明4.通过对不等式性质定理的掌握,培养学生灵活应变的解题能力和思考问题严谨周密的习惯奎屯王新敞新疆教学重点:掌握不等式性质,注意每个性质的条件。教学难点:性质的证明教学方法:引导启发结合法--即在教师引导下,由学生利用已学过的有关知识,顺利完成定理的证明过程及定理的简单应用奎屯王新敞新疆教学过程:一、复习引入:1.实数的序关系与差运算关系:0baba0baba0baba二、讲解新课:1.同向不等式:两个不等号方向相同的不等式。例如:a>b,c>d,是同向不等式奎屯王新敞新疆异向不等式:两个不等号方向相反的不等式奎屯王新敞新疆例如:a>b,cb,cb-d.1例2.已知0ba,0dc,0e,求证:dbecae例3.若Rba,,求不等式baba11,同时成立的条件例4.已知2()fxaxc,且4(1)1f,1(2)5f,求(3)f的取值范围四.课堂练习:P82练习1.2.1奎屯王新敞新疆判断下列命题的真假,并说明理由:(1)如果a>b,那么a-c>b-c;(2)如果a>b,那么ca>cb奎屯王新敞新疆2奎屯王新敞新疆回答下列问题:(1)如果a>b,c>d,能否断定a+c与b+d谁大谁小?举例说明;(2)如果a>b,c>d,能否断定a-2c与b-2d谁大谁小?举例说明奎屯王新敞新疆3已和a>b>c>d>0,且dcba,求证:a+d>b+c奎屯王新敞新疆五、作业:A:1、P83A组:1.2、B组:2B:3、||||,0baab比较a1与b1的大小24、若0,0dcba求证:dbcasinsinloglogC.设()1log3xfx,()2log2xgx,其中0,1xx,试比较()fx与()gx的大小3

1、当您付费下载文档后,您只拥有了使用权限,并不意味着购买了版权,文档只能用于自身使用,不得用于其他商业用途(如 [转卖]进行直接盈利或[编辑后售卖]进行间接盈利)。
2、本站所有内容均由合作方或网友上传,本站不对文档的完整性、权威性及其观点立场正确性做任何保证或承诺!文档内容仅供研究参考,付费前请自行鉴别。
3、如文档内容存在违规,或者侵犯商业秘密、侵犯著作权等,请点击“违规举报”。

碎片内容

内蒙古赤峰二中高中数学 不等式的性质(2)教案 新人教B版必修5

您可能关注的文档

星河书苑+ 关注
实名认证
内容提供者

从事历史教学,热爱教育,高度负责。

确认删除?
VIP
微信客服
  • 扫码咨询
会员Q群
  • 会员专属群点击这里加入QQ群
客服邮箱
回到顶部