电脑桌面
添加小米粒文库到电脑桌面
安装后可以在桌面快捷访问

湖南师范大学附属中学高一数学 复习三—平面向量的坐标运算、定比分点教案VIP免费

湖南师范大学附属中学高一数学 复习三—平面向量的坐标运算、定比分点教案_第1页
1/3
湖南师范大学附属中学高一数学 复习三—平面向量的坐标运算、定比分点教案_第2页
2/3
湖南师范大学附属中学高一数学 复习三—平面向量的坐标运算、定比分点教案_第3页
3/3
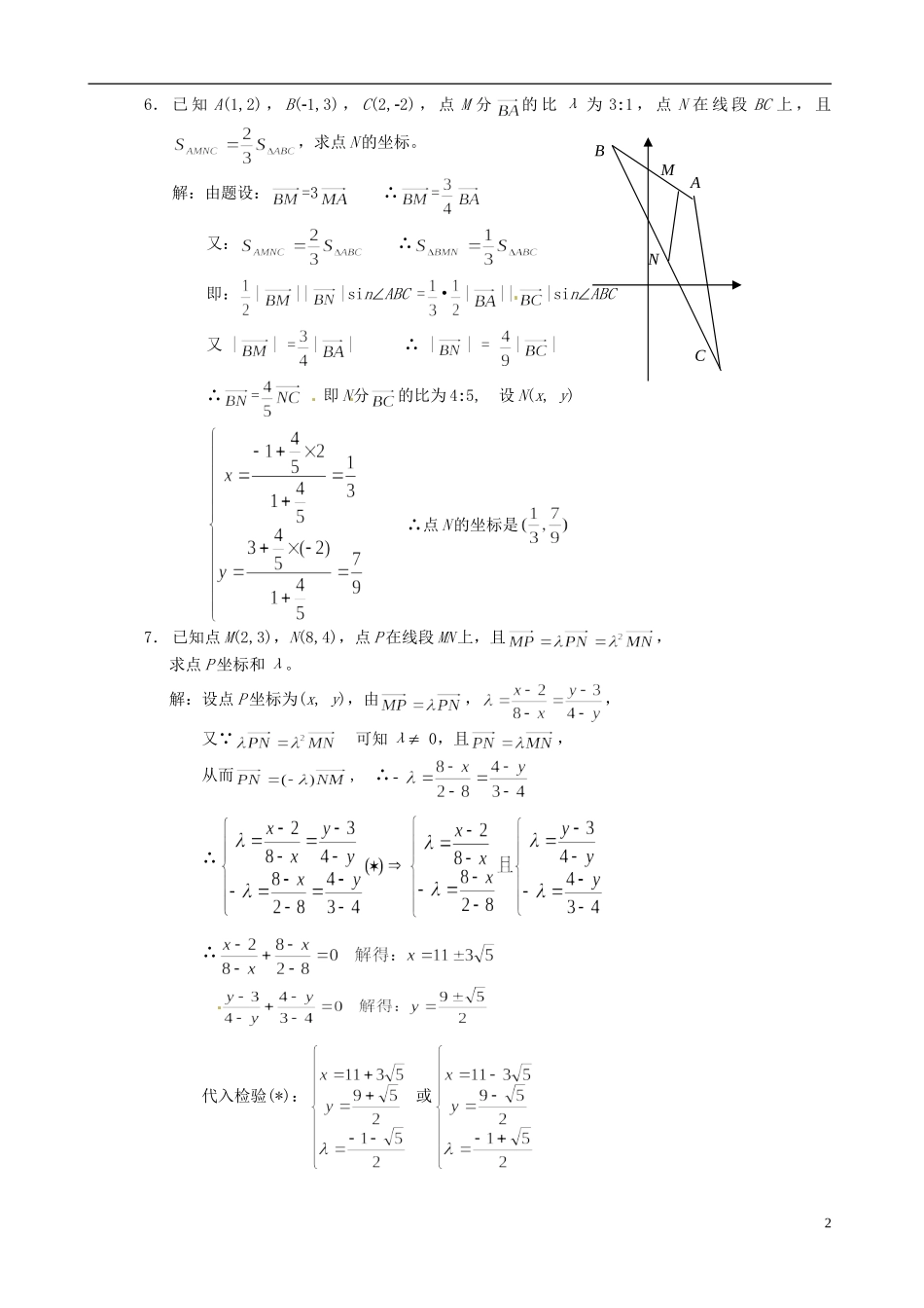
湖南师范大学附属中学高一数学教案:复习三—平面向量的坐标运算、定比分点教材:复习三——平面向量的坐标运算、定比分点过程:一、复习:平面向量坐标的概念,运算法则,定比分点二、例题:1.已知四边形的顶点坐标为A(1,2),B(2,5),C(8,14),D(3,5),求证:四边形ABCD是一个梯形。证:∵=(2,3),=(6,9)且2×93×6=0∴∥又∵=(1,3),=(5,9)而1×(9)3×(5)0∴∥∴ABCD为梯形2.设a=(1,x),b=(1,3),且2a+b∥a2b,试求x。解:2a+b=(1,),a2b=(3,x6)∵2a+b∥a2b∴1×(x6)(2x+3)×3=0x=33.已知:A(1,2),B(2,1),C(3,2),D(2,3),1求证:A,B,C三点不共线2以、为一组基底来表示++解:1∵=(1,3),=(2,4)∵1×43×20∴∴A,B,C三点不共线2++=(3,5)+(4,2)+(5,1)=(12,8)设:++=m+n即:(12,8)=(m+2n,3m+4n)∴∴++=32224.已知M(1,3),N(4,6),P(x,3),且三点共线,求点P分有向线段MN所成的比λ及x的值。解:解得:λ=2,x=35.已知△ABC的顶点是A(x1,y1),B(x2,y2),C(x3,y3),求△ABC的重心G的坐标(x,y)。解:如图:∵D是BC中点,∴D点的坐标()且G分有向线段AD所成的比λ=2∴G的坐标∴△ABC的重心G的坐标是()1ABCGD6.已知A(1,2),B(1,3),C(2,2),点M分的比λ为3:1,点N在线段BC上,且,求点N的坐标。解:由题设:=3∴=又:∴即:||||sinABC=•||||sinABC又||=||∴||=||∴=即N分的比为4:5,设N(x,y)∴点N的坐标是7.已知点M(2,3),N(8,4),点P在线段MN上,且,求点P坐标和λ。解:设点P坐标为(x,y),由,,又∵可知λ0,且,从而,∴∴∴代入检验(*):或2ABCNM∴点P坐标或点P坐标三、作业:《导学•创新》§5.4§5.53

1、当您付费下载文档后,您只拥有了使用权限,并不意味着购买了版权,文档只能用于自身使用,不得用于其他商业用途(如 [转卖]进行直接盈利或[编辑后售卖]进行间接盈利)。
2、本站所有内容均由合作方或网友上传,本站不对文档的完整性、权威性及其观点立场正确性做任何保证或承诺!文档内容仅供研究参考,付费前请自行鉴别。
3、如文档内容存在违规,或者侵犯商业秘密、侵犯著作权等,请点击“违规举报”。

碎片内容

湖南师范大学附属中学高一数学 复习三—平面向量的坐标运算、定比分点教案

您可能关注的文档

确认删除?
VIP
微信客服
  • 扫码咨询
会员Q群
  • 会员专属群点击这里加入QQ群
客服邮箱
回到顶部