电脑桌面
添加小米粒文库到电脑桌面
安装后可以在桌面快捷访问

湖北省恩施巴东县第一高级中学高中数学 §2.1.1 指数(3)教案 新人教A版必修1 VIP免费

湖北省恩施巴东县第一高级中学高中数学 §2.1.1 指数(3)教案 新人教A版必修1 _第1页
1/4
湖北省恩施巴东县第一高级中学高中数学 §2.1.1 指数(3)教案 新人教A版必修1 _第2页
2/4
湖北省恩施巴东县第一高级中学高中数学 §2.1.1 指数(3)教案 新人教A版必修1 _第3页
3/4
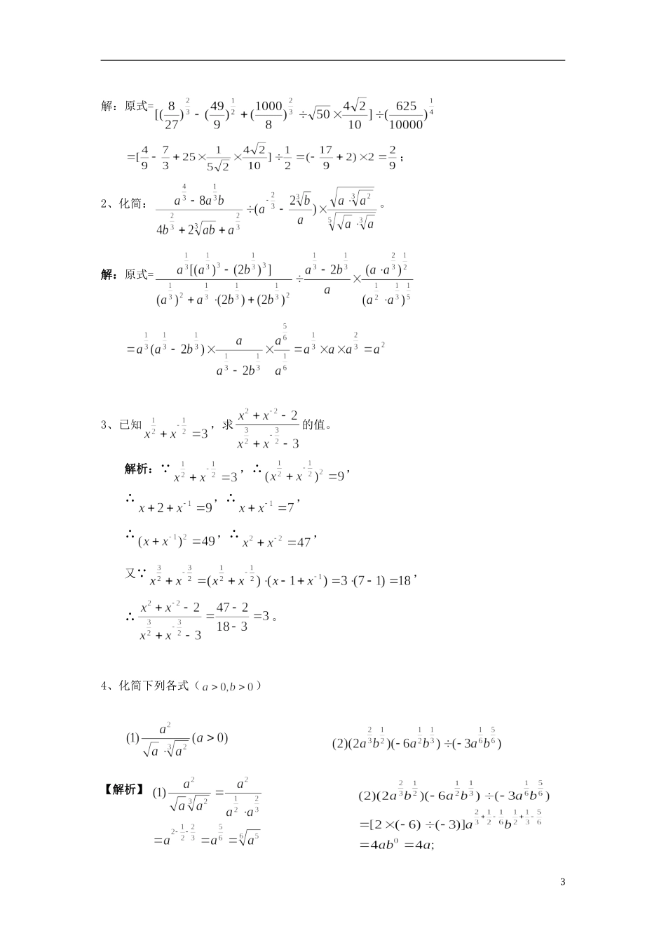
"湖北省恩施巴东县第一高级中学高中数学§2.1.1指数(3)教案新人教A版必修1"一.教学目标1.知识与技能:(1)掌握根式与分数指数幂互化;(2)能熟练地运用有理指数幂运算性质进行化简,求值.2.过程与方法:通过训练点评,让学生更能熟练指数幂运算性质.3.情感、态度、价值观(1)培养学生观察、分析问题的能力;(2)培养学生严谨的思维和科学正确的计算能力.二.重点、难点:1.重点:运用有理指数幂性质进行化简,求值.2.难点:有理指数幂性质的灵活应用.三.学法与教具:1.学法:讲授法、讨论法.2.教具:投影仪四.教学设想:1.复习分数指数幂的概念与其性质2.例题讲解例1.(P52,例4)计算下列各式(式中字母都是正数)(1)(2)(先由学生观察以上两个式子的特征,然后分析、提问、解答)分析:四则运算的顺序是先算乘方,再算乘除,最后算加减,有括号的先算括号的.整数幂的运算性质及运算规律扩充到分数指数幂后,其运算顺序仍符合我们以前的四则运算顺序.我们看到(1)小题是单项式的乘除运算;(2)小题是乘方形式的运算,它们应让如何计算呢?其实,第(1)小题是单项式的乘除法,可以用单项式的运算顺序进行.第(2)小题是乘方运算,可先按积的乘方计算,再按幂的乘方进行计算.解:(1)原式===4(2)原式==例2.(P52例5)计算下列各式1(1)(2)>0)分析:在第(1)小题中,只含有根式,且不是同类根式,比较难计算,但把根式先化为分数指数幂再计算,这样就简便多了,同样,第(2)小题也是先把根式转化为分数指数幂后再由运算法则计算.解:(1)原式=====(2)原式=小结:运算的结果不强求统一用哪一种形式表示,但不能同时含有根号和分数指数,也不能既有分母,又含有负指数.课堂练习:化简:(1)(2)(3)归纳小结:1.熟练掌握有理指数幂的运算法则,化简的基础.2.含有根式的式子化简,一般要先把根式转化为分数指数幂后再计算.作业:P59-60习题2.1A组第4题B组第2题课堂训练1、计算:;2解:原式=;2、化简:。解:原式=3、已知,求的值。解析:∵,∴,∴,∴,∴,∴,又∵,∴。4、化简下列各式()【解析】3【点评】:(1)本题属于“了解”层次,主要考查考生对有理指数幂的含义、幂的运算的识记了解情况;(2)解答这类问题的关键是先把根式转化成分数指数幂的最简形式,然后做幂的运算。5、计算:解:原式==22×33+2—7—2—1=1004

1、当您付费下载文档后,您只拥有了使用权限,并不意味着购买了版权,文档只能用于自身使用,不得用于其他商业用途(如 [转卖]进行直接盈利或[编辑后售卖]进行间接盈利)。
2、本站所有内容均由合作方或网友上传,本站不对文档的完整性、权威性及其观点立场正确性做任何保证或承诺!文档内容仅供研究参考,付费前请自行鉴别。
3、如文档内容存在违规,或者侵犯商业秘密、侵犯著作权等,请点击“违规举报”。

碎片内容

湖北省恩施巴东县第一高级中学高中数学 §2.1.1 指数(3)教案 新人教A版必修1

您可能关注的文档

星河书苑+ 关注
实名认证
内容提供者

从事历史教学,热爱教育,高度负责。

相关文档

确认删除?
VIP
微信客服
  • 扫码咨询
会员Q群
  • 会员专属群点击这里加入QQ群
客服邮箱
回到顶部