电脑桌面
添加小米粒文库到电脑桌面
安装后可以在桌面快捷访问

二次根式提高练习题含答案VIP免费

二次根式提高练习题含答案_第1页
1/7
二次根式提高练习题含答案_第2页
2/7
二次根式提高练习题含答案_第3页
3/7
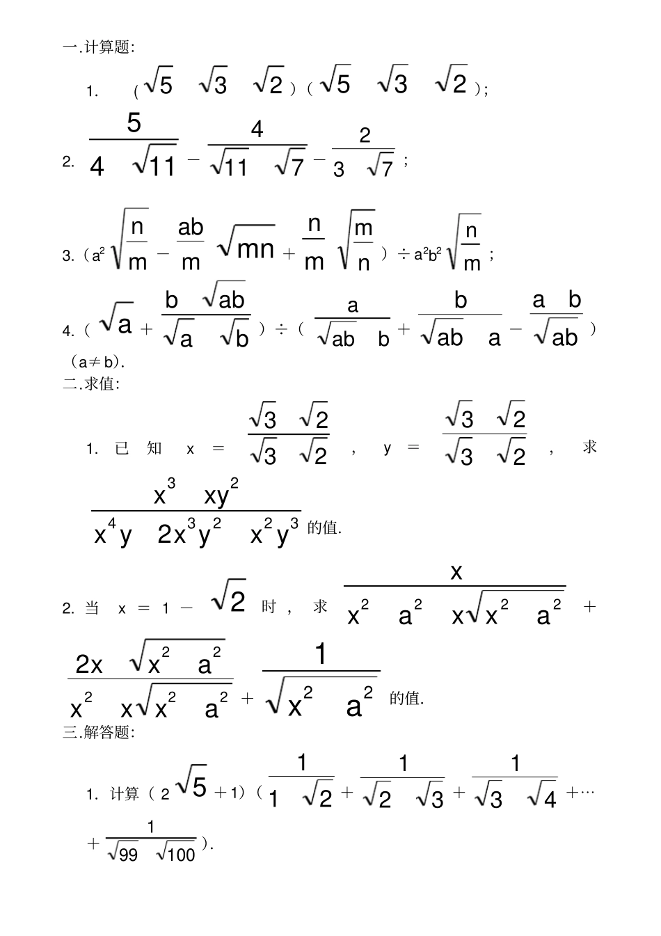
一.计算题:1.(235)(235);2.1145-7114-732;3.(a2mn-mabmn+mnnm)÷a2b2mn;4.(a+baabb)÷(baba+aabb-abba)(a≠b).二.求值:1.已知x=2323,y=2323,求32234232yxyxyxxyx的值.2.当x=1-2时,求2222axxaxx+222222axxxaxx+221ax的值.三.解答题:1.计算(25+1)(211+321+431+⋯+100991).2.若x,y为实数,且y=x41+14x+21.求xyyx2-xyyx2的值.计算题:1、【提示】将35看成一个整体,先用平方差公式,再用完全平方公式.【解】原式=(35)2-2)2(=5-215+3-2=6-215.2、【提示】先分别分母有理化,再合并同类二次根式.【解】原式=1116)114(5-711)711(4-79)73(2=4+11-11-7-3+7=1.3、【提示】先将除法转化为乘法,再用乘法分配律展开,最后合并同类二次根式.【解】原式=(a2mn-mabmn+mnnm)·221banm=21bnmmn-mab1nmmn+22bmannmnm=21b-ab1+221ba=2221baaba.4、【提示】本题应先将两个括号内的分式分别通分,然后分解因式并约分.【解】原式=baabbaba÷))(())(()()(babaabbabababbbaaa=baba÷))((2222babaabbababbabaa=baba·)())((baabbabaab=-ba.【点评】本题如果先分母有理化,那么计算较烦琐.求值:1.、【提示】先将已知条件化简,再将分式化简最后将已知条件代入求值.【解】∵x=2323=2)23(=5+26,y=2323=2)23(=5-26.∴x+y=10,x-y=46,xy=52-(26)2=1.32234232yxyxyxxyx=22)())((yxyxyxyxx=)(yxxyyx=10164=652.【点评】本题将x、y化简后,根据解题的需要,先分别求出“x+y”、“x-y”、“xy”.从而使求值的过程更简捷.2、【提示】注意:x2+a2=222)(ax,∴x2+a2-x22ax=22ax(22ax-x),x2-x22ax=-x(22ax-x).【解】原式=)(2222xaxaxx-)(22222xaxxaxx+221ax=)(()2(22222222222xaxaxxaxxaxxaxx=)()(22222222222222xaxaxxxaxxaxaxxx=)()(222222222xaxaxxaxxax=)()(22222222xaxaxxxaxax=x1.当x=1-2时,原式=211=-1-2.【点评】本题如果将前两个“分式”分拆成两个“分式”之差,那么化简会更简便.即原式=)(2222xaxaxx-)(22222xaxxaxx+221ax=)11(2222axxax-)11(22xxax+221ax=x1.解答题:1、【提示】先将每个部分分母有理化后,再计算.【解】原式=(25+1)(1212+2323+3434+⋯+9910099100)=(25+1)[(12)+(23)+(34)+⋯+(99100)]=(25+1)(1100)=9(25+1).【点评】本题第二个括号内有99个不同分母,不可能通分.这里采用的是先分母有理化,将分母化为整数,从而使每一项转化成两数之差,然后逐项相消.这种方法也叫做裂项相消法.2、【提示】要使y有意义,必须满足什么条件?].014041[xx你能求出x,y的值吗?].2141[yx【解】要使y有意义,必须014041[xx,即.4141xx∴x=41.当x=41时,y=21.又∵xyyx2-xyyx2=2)(xyyx-2)(xyyx=|xyyx|-|xyyx|∵x=41,y=21,∴yx<xy.∴原式=xyyx-yxxy=2yx当x=41,y=21时,原式=22141=2.【点评】解本题的关键是利用二次根式的意义求出x的值,进而求出y的值.

1、当您付费下载文档后,您只拥有了使用权限,并不意味着购买了版权,文档只能用于自身使用,不得用于其他商业用途(如 [转卖]进行直接盈利或[编辑后售卖]进行间接盈利)。
2、本站所有内容均由合作方或网友上传,本站不对文档的完整性、权威性及其观点立场正确性做任何保证或承诺!文档内容仅供研究参考,付费前请自行鉴别。
3、如文档内容存在违规,或者侵犯商业秘密、侵犯著作权等,请点击“违规举报”。

碎片内容

二次根式提高练习题含答案

您可能关注的文档

文库当当响+ 关注
实名认证
内容提供者

该用户很懒,什么也没介绍

相关文档

确认删除?
VIP
微信客服
  • 扫码咨询
会员Q群
  • 会员专属群点击这里加入QQ群
客服邮箱
回到顶部