电脑桌面
添加小米粒文库到电脑桌面
安装后可以在桌面快捷访问

二次根式测试题及答案VIP免费

二次根式测试题及答案_第1页
1/4
二次根式测试题及答案_第2页
2/4
二次根式测试题及答案_第3页
3/4
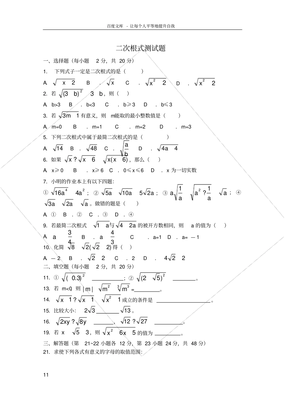
百度文库-让每个人平等地提升自我11二次根式测试题一、选择题(每小题2分,共20分)1.下列式子一定是二次根式的是()A.2xB.xC.22xD.22x2.若bb3)3(2,则()A.b>3B.b<3C.b≥3D.b≤33.若13m有意义,则m能取的最小整数值是()A.m=0B.m=1C.m=2D.m=35.下列二次根式中属于最简二次根式的是()A.14B.48C.baD.44a6.如果)6(6?xxxx,那么()A.x≥0B.x≥6C.0≤x≤6D.x为一切实数7.小明的作业本上有以下四题:①24416aa;②aaa25105;③aaaaa?112;④aaa23。做错的题是()A.①B.②C.③D.④9.若最简二次根式aa241与的被开方数相同,则a的值为()A.43aB.34aC.a=1D.a=—110.化简)22(28得()A.—2B.22C.2D.224二、填空题(每小题2分,共20分)11.①2)3.0(;②2)52(。13.若m<0,则332||mmm=。14.1112?xxx成立的条件是。15.比较大小:3213。16.?yxy82,?2712。19.若35x,则562xx的值为。三、解答题(第21~22小题各12分,第23小题24分,共48分)21.求使下列各式有意义的字母的取值范围:百度文库-让每个人平等地提升自我22(1)43x(2)a831(3)42m(4)x122.化简:(1))169()144((2)22531(3)5102421(4)nm21823.计算:(1)21437(2)225241(3))459(43332(4)126312817(5)2484554(6)2332326四、综合题(每小题6分,共12分)24.若代数式||112xx有意义,则x的取值范围是什么?25.若x,y是实数,且2111xxy,求1|1|yy的值。百度文库-让每个人平等地提升自我33一、选择题1.C2.D3.B4.D5.A6.B7.D8.C9.C10.A11.①②2512.x≥0且x≠913.—m14.x≥115.<16.xy41817.a318.相等19.120.3316531521(1)34x(2)241a(3)全体实数(4)0x22.解:(1)原式=1561312169144169144;(2)原式=51531;(3)原式=51653221532212;(4)原式=nmnm232322。23.解:(1)原式=49×21143;(2)原式=25125241;(3)原式=345527315)527(41532;百度文库-让每个人平等地提升自我44(4)原式=2274271447912628492;(5)原式=225824225354;(6)原式=265626366。24.解:由题意可知:解得,121xx且。25.解:∵x—1≥0,1—x≥0,∴x=1,∴y<21.∴1|1|yy=111yy.2x+1≥0,1—|x|≠0,

1、当您付费下载文档后,您只拥有了使用权限,并不意味着购买了版权,文档只能用于自身使用,不得用于其他商业用途(如 [转卖]进行直接盈利或[编辑后售卖]进行间接盈利)。
2、本站所有内容均由合作方或网友上传,本站不对文档的完整性、权威性及其观点立场正确性做任何保证或承诺!文档内容仅供研究参考,付费前请自行鉴别。
3、如文档内容存在违规,或者侵犯商业秘密、侵犯著作权等,请点击“违规举报”。

碎片内容

二次根式测试题及答案

文库当当响+ 关注
实名认证
内容提供者

该用户很懒,什么也没介绍

相关文档

确认删除?
VIP
微信客服
  • 扫码咨询
会员Q群
  • 会员专属群点击这里加入QQ群
客服邮箱
回到顶部