电脑桌面
添加小米粒文库到电脑桌面
安装后可以在桌面快捷访问

竖曲线计算公式VIP免费

竖曲线计算公式_第1页
1/6
竖曲线计算公式_第2页
2/6
竖曲线计算公式_第3页
3/6
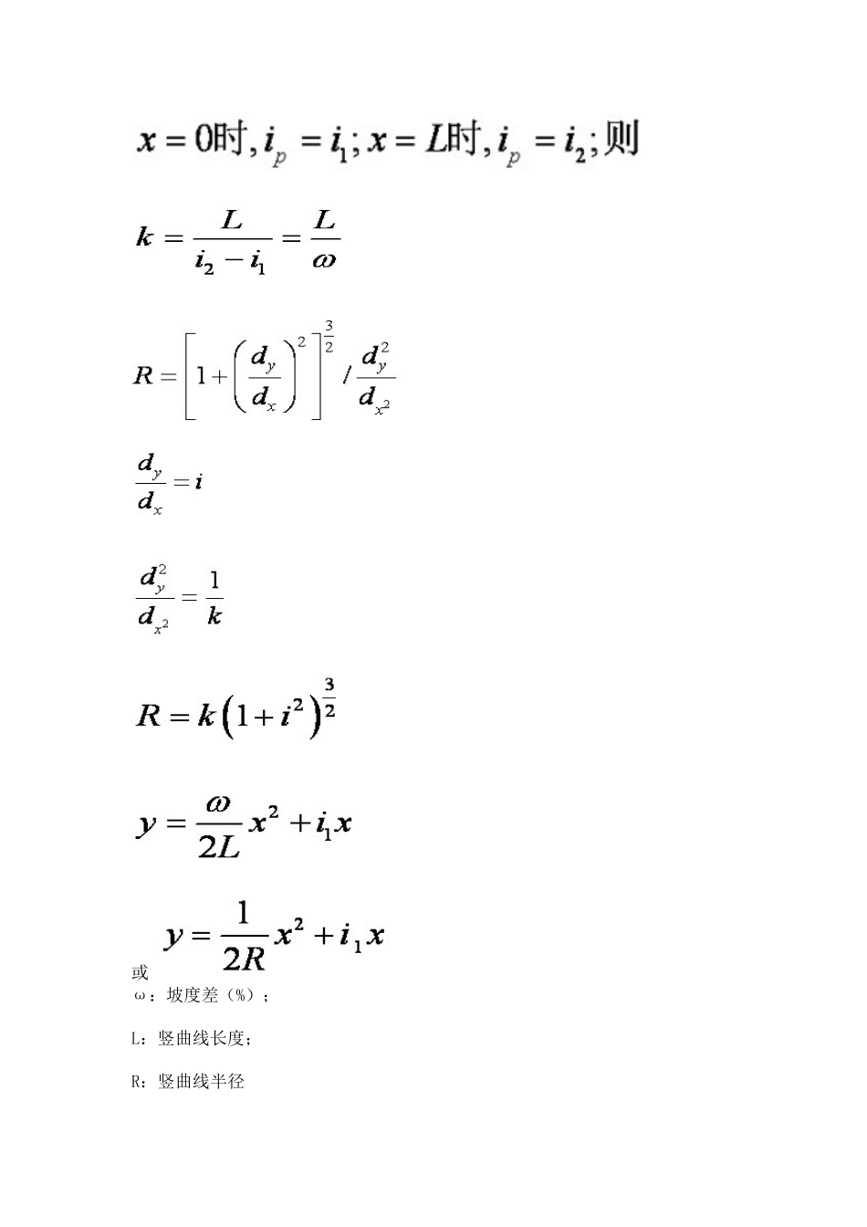
第三节竖曲线纵断面上两个坡段的转折处,为方便行车,用一段曲线来缓和,称为竖曲线。可采用抛物线或圆曲线。一、竖曲线要素的计算公式相邻坡段的坡度为i1和i2,代数差为ω=i2-i1ω为正时,是凹曲线;ω为负,是凸曲线。1.二次抛物线基本方程:或ω:坡度差(%);L:竖曲线长度;R:竖曲线半径2.竖曲线诸要素计算公式竖曲线长度或竖曲线半径R:(前提:ω很小)L=Rω竖曲线切线长:T=L/2=Rω/2竖曲线上任一点竖距h:竖曲线外距:二、竖曲线最小半径(三个因素)1.缓和冲击对离心加速度加以控制。ν(m/s)根据经验,a=0.5~0.7m/s2比较合适。我国取a=0.278,则Rmin=V2/3.6或Lmin=V2ω/3.62.行驶时间不过短3s的行程Lmin=V.t/3.6=V/1.23.满足视距的要求分别对凸凹曲线计算。(一)凸形竖曲线最小半径和最小长度按视距满足要求计算1.当L

1、当您付费下载文档后,您只拥有了使用权限,并不意味着购买了版权,文档只能用于自身使用,不得用于其他商业用途(如 [转卖]进行直接盈利或[编辑后售卖]进行间接盈利)。
2、本站所有内容均由合作方或网友上传,本站不对文档的完整性、权威性及其观点立场正确性做任何保证或承诺!文档内容仅供研究参考,付费前请自行鉴别。
3、如文档内容存在违规,或者侵犯商业秘密、侵犯著作权等,请点击“违规举报”。

碎片内容

竖曲线计算公式

海纳百川+ 关注
实名认证
内容提供者

热爱教学事业,对互联网知识分享很感兴趣

相关文档

确认删除?
微信客服
  • 扫码咨询
会员Q群
  • 会员专属群点击这里加入QQ群