电脑桌面
添加小米粒文库到电脑桌面
安装后可以在桌面快捷访问

数电简明教程7-8章习题课VIP专享VIP免费

数电简明教程7-8章习题课_第1页
1/26
数电简明教程7-8章习题课_第2页
2/26
数电简明教程7-8章习题课_第3页
3/26
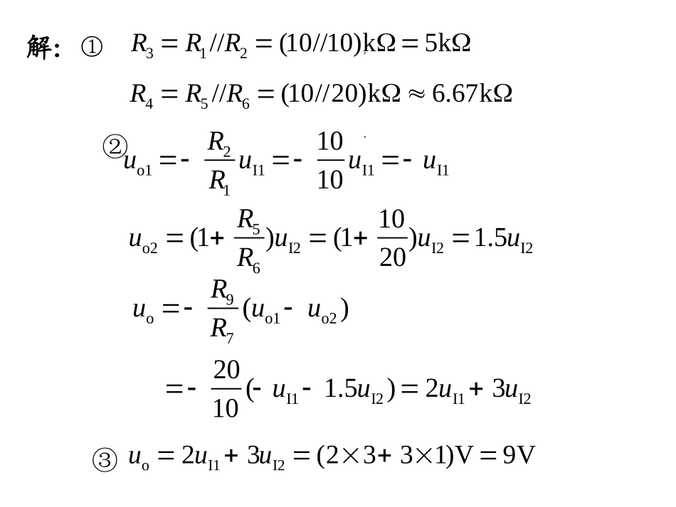
7-1在图示的放大电路中,已知R1=R2=R5=R7=R8=10kΩ,R6=R9=R10=20kΩ:①试问R3和R4分别应选用多大的电阻;②列出uo1、uo2和uo的表达式;③设uI1=3V,uI2=1V,则输出电压uo=?第七章部分习题456//(10//20)k6.67kRRR5o2I2I2I2610(1)(1)1.520RuuuuR9oo1o27I1I2I1I2()20(1.5)2310RuuuRuuuu312//(10//10)k5kRRR解:①,2o1I1I1I111010RuuuuR②,oI1I223(2331)V9Vuuu③7-2在图示电路中,写出其输出电压uo的表达式。5522oIII1414(1)()1RRRRuuuuRRRR7-4在图示电路中,列出uo的表达式。377337311(1)ufuuoIRRRAFRRRuuR解:反馈组态应为深度电压串联负反馈,因此有uo7-5列出图示电路中输出电压uo的表达式。662622o2o1III515115(1+)(1+)RRRRRRuuuuuRRRRRR26oo2o1I15RRuuuuRR2o1I1RuuR解:7-9写出图示运算电路的输入输出关系。(a)(b)o1I1I110101uuuoo1I2I3I1I2I3I1I2I3101010(++)1052(1025)1025uuuuuuuuuuoI1I2I3I1I2I3140.8444+14144RRuuuuuuu解:(a)(b)7-16在图中,设A1、A2、A3、A4均为理想运放;①A1、A2、A3、A4各组成何种基本运算电路?②分别列出uo1、uo2、uo3和uo4与输入电压uI1、uI2、uI3之间的关系。o1I1I1(110050)3uuuo2I2I3I2I3200200()(2)200100uuuuuo3o1o2I1I2I3100()2(32)50uuuuuuo4o336I1I2I31d10010100101(32)d5uutuuut解:①A1:同相输入比例电路,A2:反相输入求和电路,A3:差分输入比例电路,A4:积分电路。②第八章部分习题8-1试从以下几方面对有源滤波器和电压比较器这两种信号处理电路进行比较:①电路中的集成运放主要工作在哪个区域(非线性区,线性区);②集成运放的作用(开关元件,放大元件);③电路中是否引入反馈以及反馈的极性(开环,负反馈,正反馈)。解:有源滤波器:集成运放工作于线性区,其作用是放大元件,电路中一般引入负反馈甚至是深度负反馈;电压比较器:集成运放工作于非线性区,其作用是开关元件,电路一般工作于开环状态,或引入正反馈.有些利用稳压管的比较器,当稳压管反向击穿时引入深度负反馈.8-3试判断图中的各电路是什么类型的滤波器(低通、高通带通还是带阻滤波器,有源还是无源滤波,几阶滤波)。解:(a)高通、有源、一阶滤波;(b)低通、无源、二阶滤波;(c)带阻、无源、二阶滤波;(d)带通、有源、二阶滤波。8-7图示的单限比较器电路中,假设集成运放为理想运放,参考电压UREF=–3V,稳压管的反向击穿电压UZ=±5V,电阻R1=20kW,R2=30kW。①试求比较器的门限电平并画出电路的传输特性;②若输入电压uI为三角波,试画出uo的波形。解:①1TREF220(3V)2V30RUUR②输出波形如图所示。传输特性tuo/V+5–5uI/VuoO+UZ-UZ28-9图示的滞回比较器电路中,已知R1=68kW,R2=100kW,RF=200kW,R=2kW,稳压管的UZ=±6V,参考电压UREF=8V。试估算其两个门限电平UT+和UT-以及门限宽度DUT的值,并画出滞回比较器的传输特性。解:F2T+REFZ2F2F7.3VRRUUURRRRF2T-REFZ2F2F3.3VRRUUURRRRTT+T4VUUUuo/VuI/V0传输特性-63.367.38-10图示的正向输入端滞回比较器电路,试估算其两个门限电平UT+和UT-以及门限宽度DUT的值,并画出正向滞回比较器的传输特性。解:当输出为+UZ时22T-IREFZFF(1)RRUuUURR2TT+TZF2RUUUURuo/VuI/V0传输特性UT-UT+F2+IZREF2F2FRRuUUuURRRR22T+REFZFF(1)RRUUURR当输出为–UZ时8-11图示的各比较器电路中,设稳压管的稳定电压UZ=±6V,分别画出它们的传输特性并说明它们是什么类型的比较器。uI/Vuo0+UZ-UZ2uI/Vuo0+UZ-UZ–1.5单限比较器单限比较器反相滞回比较器同相滞回比较器uo/VuI/V0-6–3.663.6uo/VuI/V04.78.78-13将正弦信号uI=Umsinwt分别送到图示三个电路的输入端,试分别画出它们的输出电压uo的波形,并标出各处电压值。已知Um=15V,而且:①稳压管的稳压值UZ=±7V;07-7uo/Vt0tuI/V15-15解:过零比较器,UT=0解:单限比较器1TREF26VRUUR②稳压管的稳压值UZ=±7V,且参考电压UREF=6V,R1=R2=10kW;07–7uo/Vt-60tuI/V15–15解:滞回比较器F2TREFZ2F2F6.8V++RRuUuRRRRF2TREFZ2F2F4.8V++RRuUuRRRR③稳压管的稳压值UZ=±7V,且参考电压UREF=6V,R1=8.2kW,R2=50kW,RF=10kW。07-7uo/Vt-4.86.80tuI/V15-15

1、当您付费下载文档后,您只拥有了使用权限,并不意味着购买了版权,文档只能用于自身使用,不得用于其他商业用途(如 [转卖]进行直接盈利或[编辑后售卖]进行间接盈利)。
2、本站所有内容均由合作方或网友上传,本站不对文档的完整性、权威性及其观点立场正确性做任何保证或承诺!文档内容仅供研究参考,付费前请自行鉴别。
3、如文档内容存在违规,或者侵犯商业秘密、侵犯著作权等,请点击“违规举报”。

碎片内容

数电简明教程7-8章习题课

确认删除?
VIP
微信客服
  • 扫码咨询
会员Q群
  • 会员专属群点击这里加入QQ群
客服邮箱
回到顶部