电脑桌面
添加小米粒文库到电脑桌面
安装后可以在桌面快捷访问

土力学老师的答案VIP专享VIP免费

土力学老师的答案_第1页
1/40
土力学老师的答案_第2页
2/40
土力学老师的答案_第3页
3/40
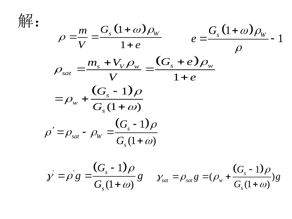
作业2.3原状土样的密度为1.85g/cm3,含水量为34%,土粒比重为2.71,试求土样的饱和密度、有效密度、饱和重度和有效重度。(先导公式后求解)。解:11sWGe11(1)swsVwsatswsGemVVeGG1(1)ssatWsGG11sWGmVe1()(1)ssatsatwsGggG''1(1)ssGggG312.7111.850.87/cm(1)2.71(10.34)ssGgG312.7111.851.01.87/cm(1)2.71(10.34)ssatwsGgG3318.710/msatsatgN''338.710/mgN2.5完全饱和粘土试样的含水量为30%,土粒比重为2.73,液限为33%,塑限为17%,求孔隙比、干密度和饱和密度,并按塑性指数和液性指数分别定义该粘性土的分类名称和软硬状态。解:WWsrVVWVmGsVVe32.731.5/cm110.819ssWdmGgVe32.730.8191.95/cm110.819swsVwsatGemVgVe2.730.30.8191srGes30170.812516PLLPI331716pLPI因为Ip<17为粉质粘土。因为0.752mm的颗粒含量超过全重50%的土。砂土砂土:粒径d>2mm的颗粒含量不超过全重的50%,且粒径d>0.075mm的颗粒超过全重50%的土。名称粒组含量砾砂粒径大于2mm的颗粒超过全重25%~50%粗砂粒径大于0.5mm的颗粒超过全重50%中砂粒径大于0.25mm的颗粒超过全重50%细砂粒径大于0.075mm的颗粒超过全重85%粉砂粒径大于0.075mm的颗粒超过全重50%第3章土的渗透性及水的渗流3.8渗透试验装置如图所示,砂1的渗透系数k1=2e-1cm/s,砂2的渗透系数k2=1e-1cm/s,砂样截面积A=200cm2,求:(1)砂1与砂2界面处测压管水头高于右端水面多少?(2)砂1与砂2界面处的渗流量q多大??3040402060解:(1)通过砂1与砂2界面处渗流量q相等q1=q212121212/1/260cm;20cm;40cmikhlikhlhhh水通过砂1的水头损失为20cm,所以砂1与砂2界面处测压管水头高于右端水面20cm。(2)q1=q2=vA=20cm3/s3.11为一板桩打入透土层后形成的流网。知透水层深18m,渗透系数k=3e-4mm/s,板桩打入土层表面以下9.0m。求(1)图中a、b、c、d、e各点的孔隙水压力;(2)地层的单位渗流量。图2-16习题2-11H=H1-H20H1H2不透水层lbabcdefgh解:总水头损失:h=9-1=8m;1818414137.2ccchhmhhmughkPa0;0;9;88.2aabbbhuhmughkPa1;9.8dddhmughkPa0;0eeehughkPa(2)地层的单位渗流量771;310/41210/hqkiAkblblqmsqqms4.10条形基础宽为2m,梯形分布荷载p01=200kPa,p02=100kPa,求基础中点下及边缘两点下3m、6m深度处的σz153264(b)=+=+(a)O=1/2O=2O=O能把它当做条形荷载来计算吗?中点下3m条形:z/b=1.5,x/b=0,sz=0.4,σz1=100X0.4=40kPa.荷载2,3z/b=3,t=2X(0.0476+0.0511)=0.197σz23=50X0.197=9.85kPa荷载4条形基础,z/b’=3,,x/b‘=0.5,sz=0.2,σz4=50X0.2=10kPaσ3=40+9.85+10=59.85kPa4231•100kPa点下3m•条形1:z/b=1.5,x/b=0.5,sz=0.33,σz1=100X0.33=33kPa.•三角形荷载•z/b=1.5,t=(0.0753+0.0715)=0.1468•σz2=100X0.1468=14.68kPa•σz=33+14.68=47.68kPa4231•100kPa点下3m•条形1:z/b=1.5,x/b=0.5,sz=0.33,σz1=100X0.33=33kPa.•三角形荷载•z/b=1.5,t2=(0.0987+0.0889)=0.1876•σz2=100X0.1876=18.76kPa•σz=33+18.76=51.76kPa4231两个矩形基础的形状相似,垂直分布荷载强度相同,判断下面结论的正误1、甲基础面积比乙基础大一倍,则其中点下同一深度处的附加应力也大一倍2、甲基础的宽度比乙基础宽一倍,则其中点下同一深度处的附加应力也大一倍3、甲基础的宽度比乙基础大一倍,则甲基础中点下2Z深度处的附加应力与乙基础中点下Z深度处的附加应力相同测试题:比较三种...

1、当您付费下载文档后,您只拥有了使用权限,并不意味着购买了版权,文档只能用于自身使用,不得用于其他商业用途(如 [转卖]进行直接盈利或[编辑后售卖]进行间接盈利)。
2、本站所有内容均由合作方或网友上传,本站不对文档的完整性、权威性及其观点立场正确性做任何保证或承诺!文档内容仅供研究参考,付费前请自行鉴别。
3、如文档内容存在违规,或者侵犯商业秘密、侵犯著作权等,请点击“违规举报”。

碎片内容

土力学老师的答案

确认删除?
VIP
微信客服
  • 扫码咨询
会员Q群
  • 会员专属群点击这里加入QQ群
客服邮箱
回到顶部