电脑桌面
添加小米粒文库到电脑桌面
安装后可以在桌面快捷访问

六年级数学解方程复习题VIP免费

六年级数学解方程复习题_第1页
1/3
六年级数学解方程复习题_第2页
2/3
六年级数学解方程复习题_第3页
3/3
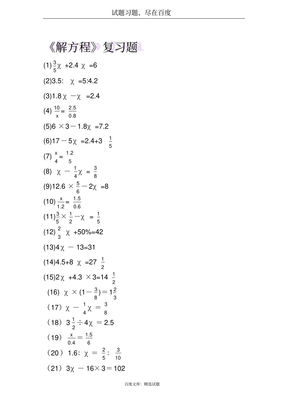
试题习题、尽在百度百度文库:精选试题《解方程》复习题(1)53χ+2.4χ=6(2)3.5:χ=5:4.2(3)1.8χ-χ=2.4(4)x10=8.05.2(5)6×3-1.8χ=7.2(6)17-5χ=2.4+351(7)4x=52.1(8)χ-41χ=83(9)12.6×65-2χ=8(10)2.1x=6.05.1(11)53×21-χ=51(12)32χ+50%=42(13)4χ-13=31(14)4.5+8χ=2721(15)2χ+4.3×3=1421(16)χ×(1-83)=132(17)χ-41χ=83(18)321÷4χ=2.5(19)4.0x=65.1(20)1.6:χ=52:103(21)3χ-16×3=102试题习题、尽在百度百度文库:精选试题(22)x:197=201:31(23)4χ+7.1=12.5(24)χ:0.6=31:4(25)32:73=97:χ(26)0.3χ-2=9.1(27)7x=5.36.0(28)21x-41=81(29)χ:21=41:81(30)21:χ=41:81(31)3χ+41χ=2132(32)145:75=0.3:χ(33)131-χ=89.2(34)31:0.25=80%:χ(35)4χ+7.1=12.5(36)43-21χ=51(37)32χ-21χ+51=32(38)43:53=χ:12(39)χ-21χ=107(40)χ:43=12:3(41)2.4χ-0.45×2=0.3(42)41:81=χ:0.1(43)6.3-5χ=4.1试题习题、尽在百度百度文库:精选试题(44)1.25:5=0.75:χ(45)21:χ=43:6(46)53×2.5-χ=0.6(47)χ-61χ=125(48)31:χ=51:76(49)10x=21.0(50)32χ-21χ+1.2=3.4(51)4:6=15:χ(52)21:43=χ:32

1、当您付费下载文档后,您只拥有了使用权限,并不意味着购买了版权,文档只能用于自身使用,不得用于其他商业用途(如 [转卖]进行直接盈利或[编辑后售卖]进行间接盈利)。
2、本站所有内容均由合作方或网友上传,本站不对文档的完整性、权威性及其观点立场正确性做任何保证或承诺!文档内容仅供研究参考,付费前请自行鉴别。
3、如文档内容存在违规,或者侵犯商业秘密、侵犯著作权等,请点击“违规举报”。

碎片内容

六年级数学解方程复习题

确认删除?
VIP
微信客服
  • 扫码咨询
会员Q群
  • 会员专属群点击这里加入QQ群
客服邮箱
回到顶部