电脑桌面
添加小米粒文库到电脑桌面
安装后可以在桌面快捷访问

初中二年级下期期中考试答案VIP免费

初中二年级下期期中考试答案_第1页
1/8
初中二年级下期期中考试答案_第2页
2/8
初中二年级下期期中考试答案_第3页
3/8
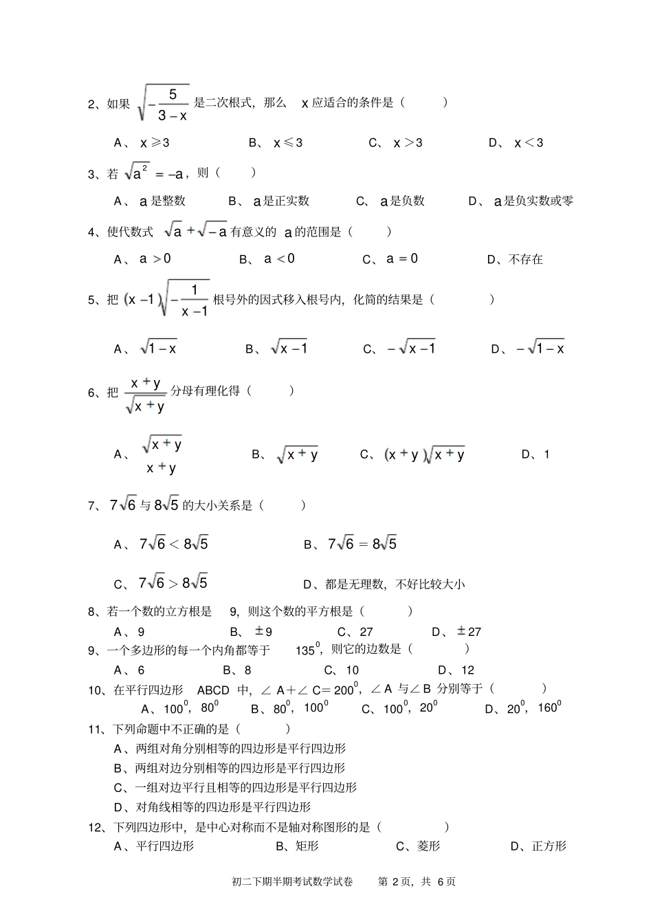
初二下期半期考试数学试卷第1页,共6页初中二年级下期期中考试数学试卷班级:学号:姓名:成绩:一、选择题:(每小题2分,共40分)1、下列各式中不是二次根式的是()A、12xB、4C、0D、2ba初二下期半期考试数学试卷第2页,共6页2、如果x35是二次根式,那么x应适合的条件是()A、x≥3B、x≤3C、x>3D、x<33、若aa2,则()A、a是整数B、a是正实数C、a是负数D、a是负实数或零4、使代数式aa有意义的a的范围是()A、0aB、0aC、0aD、不存在5、把111xx根号外的因式移入根号内,化简的结果是()A、x1B、1xC、1xD、x16、把yxyx分母有理化得()A、yxyxB、yxC、yxyxD、17、67与58的大小关系是()A、67<58B、67=58C、67>58D、都是无理数,不好比较大小8、若一个数的立方根是9,则这个数的平方根是()A、9B、9C、27D、279、一个多边形的每一个内角都等于1350,则它的边数是()A、6B、8C、10D、1210、在平行四边形ABCD中,∠A+∠C=2000,∠A与∠B分别等于()A、1000,800B、800,1000C、1000,200D、200,160011、下列命题中不正确的是()A、两组对角分别相等的四边形是平行四边形B、两组对边分别相等的四边形是平行四边形C、一组对边平行且相等的四边形是平行四边形D、对角线相等的四边形是平行四边形12、下列四边形中,是中心对称而不是轴对称图形的是()A、平行四边形B、矩形C、菱形D、正方形初二下期半期考试数学试卷第3页,共6页13、顺次连结等腰梯形各边中点所得的四边形是()A、正方形B、矩形C、菱形D、平行四边形14、平行四边形一边的长是10cm,那么这个平行四边形的两条对角线长可以是()A、4cm,6cmB、6cm,8cmC、8cm,12cmD、20cm,30cm15、如图:在平行四边形ABCD中,E、F分别为AB、BC的中点,G是AD上的任一点,则S△BEF和S△GFC分别等于S的()A、61和31B、81和41C、41和21D、81和61GFEDCBAODCBA16、如图:等腰梯形的对角线AC、BD相交于点O,则图中全等的三角形共有()A、1对B、2对C、3对D、4对17、如图:在梯形ABCD中,AB∥CD,∠A=300,∠B=450,CD=3cm,AD=10cm,则AB的长是()A、)355(cmB、(258)cmC、(358)cmD、(38)cmDCBA(4)DEFCBA18、如图:若四边形CDEF旋转后能与正方形ABCD重合,那么图形所在平面上可以作为旋转中心的点有()A、2个B、3个C、4个D、5个19、下列命题中的真命题是()A、一条对角线平分一组对角的四边形是菱形B、四个角都相等的四边形是正方形C、有一个角是直角的平行四边形是矩形D、一组对边平行,另一组对边相等的四边形是平行四边形20、如果一个梯形的上底长是4,下底长是6,那么这个梯形被中位线分成的两部分面积之比为()A、4∶6B、5∶6C、9∶10D、9∶11二、填空题(每小题2分,共20分)初二下期半期考试数学试卷第4页,共6页1、二次根式212xx有意义时的x的取值范围是。2、计算:________7342821;4)5(2+38515=。3、梯形上、下底分别为1和4,两条对角线的长分别为3和4,则梯形面积为_________。4、矩形一边为6cm,两条对角线交角为600,则对角线长为____________。5、一个n边形的每一个外角都等于和它相邻的内角的51,则这个多边形的边数是_______。6、若一个矩形的长为1234cm,宽为32cm,则与它面积相等的正方形的边长为________cm。7、已知O是平行四边形ABCD的对角线交点,AC=24cm,BD=38cm,AD=28cm,则△OBC的周长为__________。8、在梯形ABCD中,AD∥BC,∠A=900,AB=12,BC=10,AD=5,则CD=______。OCBDDADDCAB500400300DCBA(7题图)(8题图)(9题图)9、在长为1.6m,宽为1.2m的矩形铝板上,剪切如图所示的直角梯形零件(尺寸单位为mm)。这块铝板最多能剪出个这样的零件。10、若菱形的周长是20cm,相邻的两个内角的度数比是1∶2,那么菱形中较短的一条对角线的长是______cm。三、解答下列各题:(每小题5分,共20分)1、计算:1171173173111452、已知:实数x、y满足等式0)732(422yxyx,求实数yx873的初二下期半期考试数学试卷第5页,共6页平方根。3、已知:梯形ABCD中,AD∥BC,AB=DC,∠C=600,BD平分∠ABC,AD+BC=30cm,求AD和BC的长。DCBA4、如图:在平行四边形ABCD中,∠B=300,AE⊥BC于...

1、当您付费下载文档后,您只拥有了使用权限,并不意味着购买了版权,文档只能用于自身使用,不得用于其他商业用途(如 [转卖]进行直接盈利或[编辑后售卖]进行间接盈利)。
2、本站所有内容均由合作方或网友上传,本站不对文档的完整性、权威性及其观点立场正确性做任何保证或承诺!文档内容仅供研究参考,付费前请自行鉴别。
3、如文档内容存在违规,或者侵犯商业秘密、侵犯著作权等,请点击“违规举报”。

碎片内容

初中二年级下期期中考试答案

您可能关注的文档

确认删除?
VIP
微信客服
  • 扫码咨询
会员Q群
  • 会员专属群点击这里加入QQ群
客服邮箱
回到顶部