电脑桌面
添加小米粒文库到电脑桌面
安装后可以在桌面快捷访问

流体力学习题解答2VIP免费

流体力学习题解答2_第1页
1/4
流体力学习题解答2_第2页
2/4
流体力学习题解答2_第3页
3/4
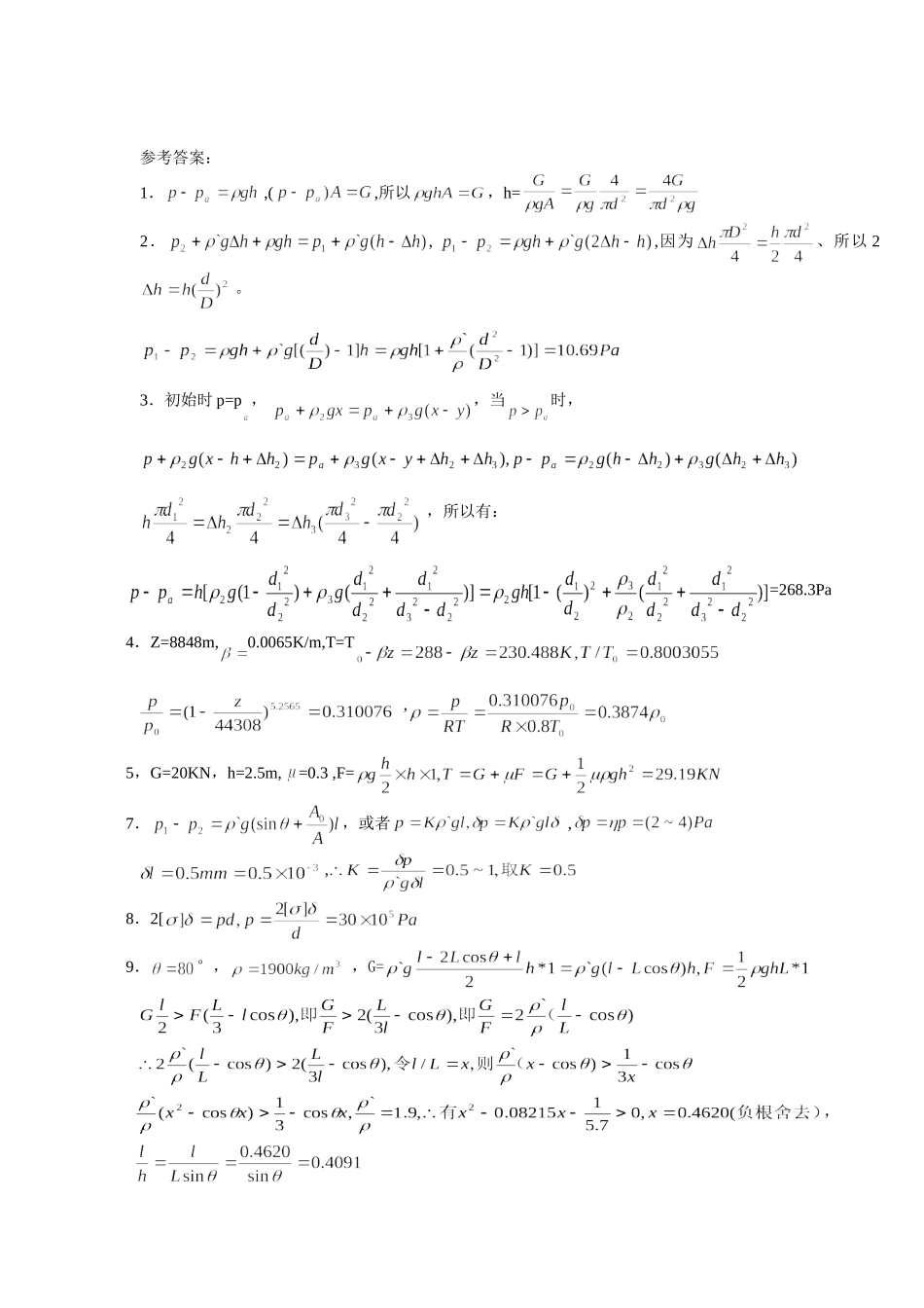
习题二1.一个重量为G的开口杯,底面直径为d,将杯倒扣并浮于水面,求杯内,外水面的高差。3题2.双杯式微压计,上部盛油,密度900kg/m,下部盛水。已知圆管直径d=4mm,杯的底面直径D=40mm,当p=p时,读数h=0,如果读数h=10mm,求压差p-p。插图第8题3.一种酒精和水银的双液测压计,当细管上端接通大气时,酒精液面高度为0,当酒精液面下降h=30mm时,求细管上端的相对压强。已知:d=5mm,=20mm,d=50mm,酒精密度为800kg/m。10题图4.求珠穆朗玛峰顶(海拔高度8848m)与海面的空气密度比。12题5.如图,平板闸门自重G=20kN,挡水深度h=2.5m,闸门与竖壁的摩擦系数=0.3,求闸门开始提升时所需的力T(闸门单位宽度)。13题图6.试证明,平面挡水墙所受的静水总压力的作用点在水深的2/3处。此结论对于铅直壁和斜壁都成立。15题7.用倾斜微压计测量气体压差。若肉眼观察标线读数的精度为0.5mm,测量的压差在10~210范围时,要求测量误差不超过0.2%,试确定倾斜系数。16题8.水管直径d=200mm,厚度=10mm,管壁材料的许用应力[]=3010N/m,求水管能承受的最大水压强。19题9.设计如图所示的挡水墙时,要求墙体自重G对底部的B点的力矩大于墙身受到的静水总压力对B点的力矩。墙的截面是等腰梯形,底角=80゜,墙身材料的密度为1900kg/m,求宽高比l/h应大于多少?21题图10.如图,输水管半径为500mm,管轴线上的静水表压强为1.4710Pa。求单位长度的管壁所受的拉力。24题11.测定运动加速度的U形管如图所示,若l=0.3m,h=0.2m,求加速度a。26题图12.如图,盛水的矩形敞口容器以等加速度a=2m/s沿水平倾角=10゜的斜面向上运动,试求水面与竖壁的夹角。27题图13.一个高2h,底面半径为R的圆柱形敞口容器,内盛深h的水,当容器绕其立轴旋转时,其等角速度为保证水不溢出的最大值。求证此时容器底面上的水总压力为ghR。29题14.一个有盖的圆柱形容器,底半径R=2m,容器充满水,顶盖上距中心为r处开一个小孔通大气。容器绕其主轴做等角速度旋转。问当r为多少时,顶盖所受的水的总压力为零。30题15.如图,液体转速计由直径为d的圆筒,活塞盖以及与其连通的两条直径为d的支管构成。转速计内装水银,直管距圆筒立轴为R,当转速为时,活塞比静止时高度下降了h,证明:h=31题图2-14如图2-32,矩形闸门可绕绞轴转动,求证H>14/15h+a,闸门在水压力的作用下可以自动开启。参考答案:1.,(,所以,h=2.,,因为、所以2。3.初始时p=p,,当时,,所以有:=268.3Pa4.Z=8848m,0.0065K/m,T=T,5,G=20KN,h=2.5m,=0.3,F=7.,或者,,8.2[9.°,,G=,9.10.L=0.3m,,h=0.2m,11.如图坐标轴的原点取在液面的中心,等压面上°12.根据旋转抛物面所围体积等于同高同底圆柱体体积的原理,可知自由面恰好经过容器口周边及底面中心,自由面:压强分布:总压力:F=13.压强分布:所以即14.初始时,支管液面在0-0上,则活塞盖自重G等于G=,旋转时,以盖心为原点,r=R,z=x+h+H时,p=p所以G=所以22-14有三种思路:一积分;二把力分成两部分;三根据压力中心的公式来求。二、把力分成两部分:取中间板的下沿为x轴,把中间板以上的流体看成一个力单元(相当于大气压),力表示f1,把与中间板平行的流体看成一个力单元,力表示为f2。中间板所受总力为F=f1+f2。对于整个流体,假设中间板的压力中心坐标为y,则对于与中间板平行的流体来说,中间板的压力中心坐标为h/3。对x轴取距,则有Fy=f1*h/2+f2*h/3(因为f1对于中间板来说是个常数,所以压力中心在中点)。,力臂为h/2和,,力臂为h/3所以代入求得:最后得到H>14/15h+a

1、当您付费下载文档后,您只拥有了使用权限,并不意味着购买了版权,文档只能用于自身使用,不得用于其他商业用途(如 [转卖]进行直接盈利或[编辑后售卖]进行间接盈利)。
2、本站所有内容均由合作方或网友上传,本站不对文档的完整性、权威性及其观点立场正确性做任何保证或承诺!文档内容仅供研究参考,付费前请自行鉴别。
3、如文档内容存在违规,或者侵犯商业秘密、侵犯著作权等,请点击“违规举报”。

碎片内容

流体力学习题解答2

您可能关注的文档

确认删除?
VIP
微信客服
  • 扫码咨询
会员Q群
  • 会员专属群点击这里加入QQ群
客服邮箱
回到顶部